EasyManua.ls Logo

Daikin MicroTech III DPS - Page 84

Daikin MicroTech III DPS
114 pages
Print Icon
To Next Page IconTo Next Page
To Next Page IconTo Next Page
To Previous Page IconTo Previous Page
To Previous Page IconTo Previous Page
Loading...
OM 1263 • MICROTECH UNIT CONTROLLER 84 www.DaikinApplied.com

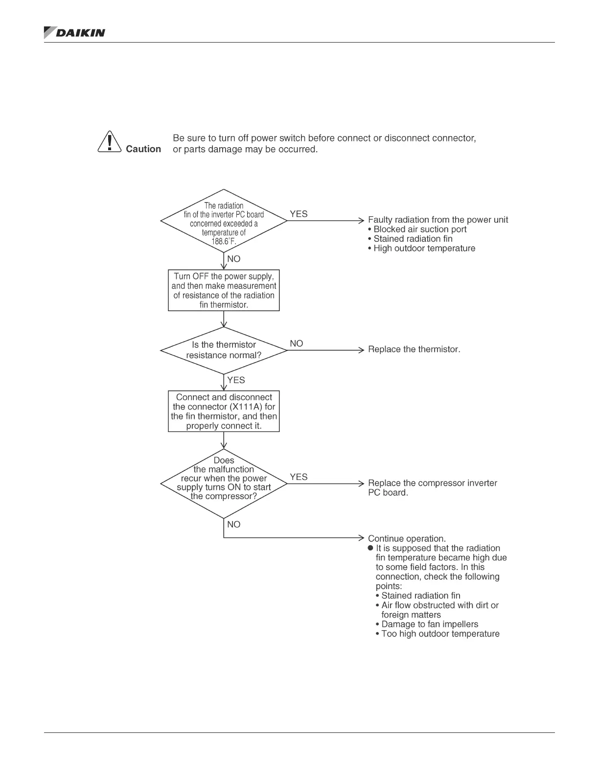
Figure 23: L4 – Malfunction of Inverter Radiating Fin Temperature Rise

Table of Contents

Related product manuals