EasyManua.ls Logo

EM TEST RDS 200N - Jaso Test 1

Default Icon
57 pages
Print Icon
To Next Page IconTo Next Page
To Next Page IconTo Next Page
To Previous Page IconTo Previous Page
To Previous Page IconTo Previous Page
Loading...
EM TEST VDS 200 Series
Manual for Operation V 5.19 23 / 57
3.3.3.
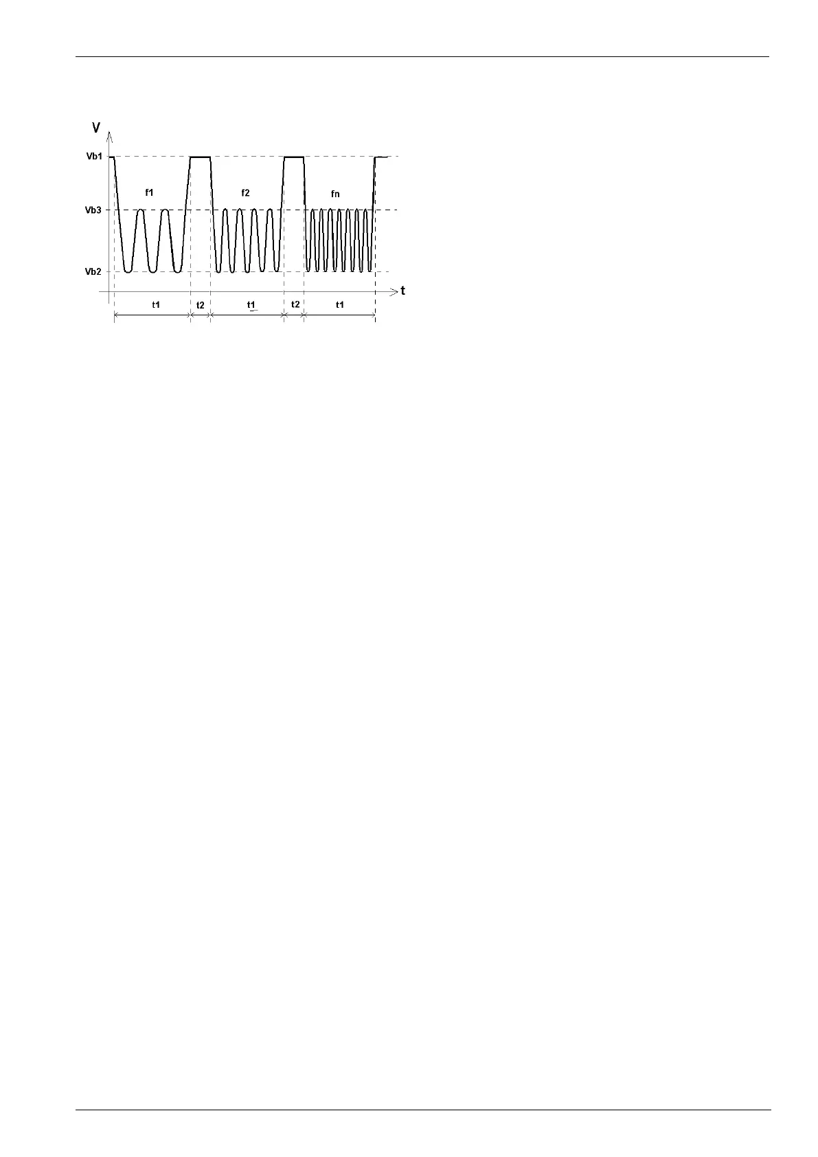
Jaso Test 1
Limitations
VB1 >= VB3 >= VB2 F
n
=
2
F
n-1
F1 <= Fn
T1 >= 1 / F1
Parameters:
Vb1
0.0V
-
30.0V (60.0V)
Vb2
0.0V
-
30.0V (60.0V)
Vb3
0.0V
-
30.0V (60.0V)
t1
0.1s
-
99.99 s
t2
0.1s
-
99.99 s
f1
0.1Hz
-
99.9 Hz
fn
0.1Hz
-
99.9 Hz
n
1
-
30,000 / endl.
tri
Auto / Manual
I
1A
-
30A (Imax)

Table of Contents

Related product manuals