EasyManua.ls Logo

Frymaster 45 Series - Troubleshooting the Temperature Probe

Frymaster 45 Series
86 pages
Print Icon
To Next Page IconTo Next Page
To Next Page IconTo Next Page
To Previous Page IconTo Previous Page
To Previous Page IconTo Previous Page
Loading...
1-34
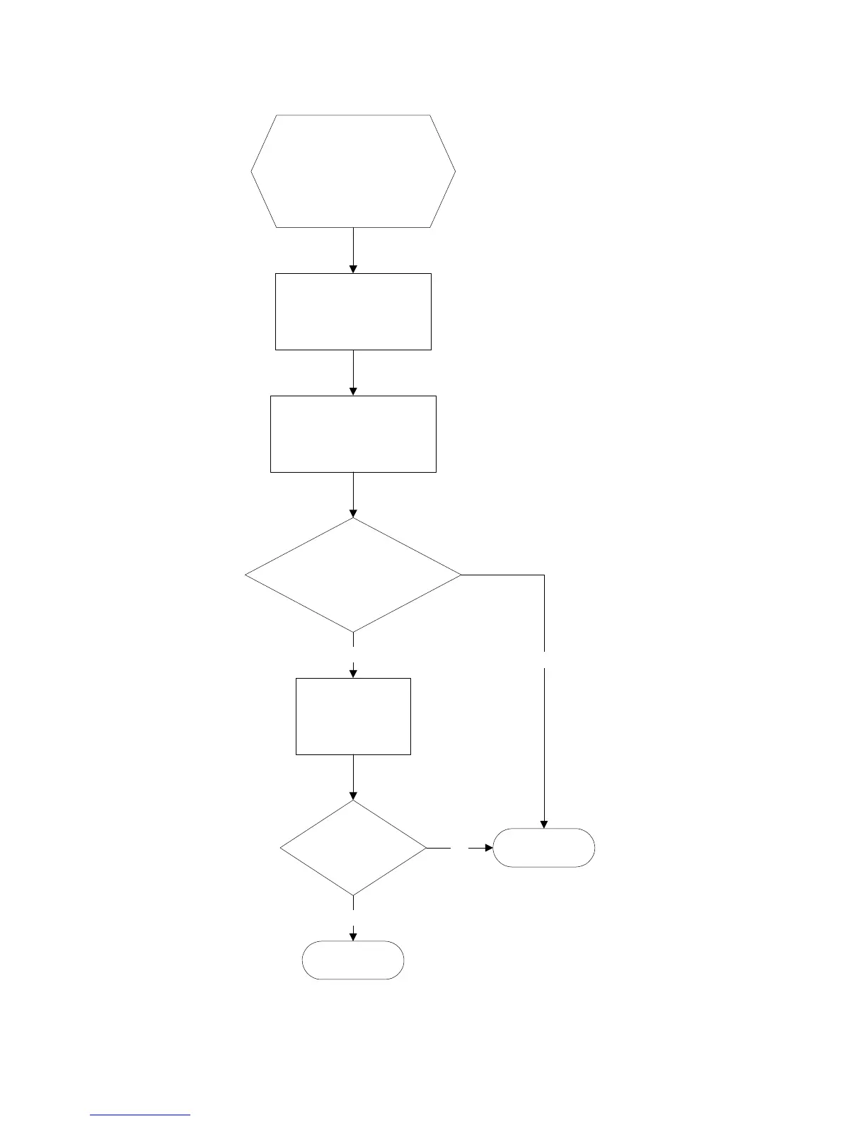
1.10.5 Troubleshooting the Temperature Probe
While it is still in the frypot,
inspect the probe body for
damage. Inspect the leads
for fraying, burning, breaks,
and/or kinks. If probe is
bent, dented, or cracked, or
if the leads are damaged,
replace the probe.
Determine the temperature of
cooking oil/shortening using a
thermometer or pyrometer
placed at the tip of the probe.
Disconnect the 15-pin harness
from the controller. Measure
probe resistance using J2
Pins 13 and 14.
Is resistance
approximately equal to that
given in the probe resistance chart
for the corresponding
temperature?
Measure resistance
through J2 Pin 13
and ground and J2
Pin 14 and ground.
Is resistance of
each pin 5 megaohms
or greater.
Yes
Probe has failed.
Probe is OK.
Yes
No
No

Table of Contents

Related product manuals