EasyManua.ls Logo

Hanna Instruments HI 903 - Spectrophotometric Titrations

Hanna Instruments HI 903
220 pages
Print Icon
To Next Page IconTo Next Page
To Next Page IconTo Next Page
To Previous Page IconTo Previous Page
To Previous Page IconTo Previous Page
Loading...
8
TITRATION THEORY
electrode, are monitored to show the progress of the titration.
Potentiometry is the measurement of a potential under conditions of zero current flow. The
measured potential can then be used to determine the analytical quantity of interest, generally a
component concentration of the analyte solution. The potential that develops in the electrochemical
cell is the result of the free energy change that would occur if the chemical phenomena were to
proceed until the equilibrium condition has been satisfied.
There are many types of titrations where potentiometry can be used,e.g., pH electrodes for acid-
base titrations, platinum ORP electrodes in redox titrations, ion selective electrodes, such as chloride
or fluoride for a specific ion titration, and silver electrodes for argentometric (silver-based) titrations.
2.1.3 Spectrophotometric Titrations
The name comes from the method used to detect the endpoint of the titration, not its
chemistry. Highly colored indicators that change color during the course of the titration are
available for many titrations. More accurate data on the titration curve can be obtained if the
light absorption is monitored instrumentally using a light source, a simple monochromator
and a photodetector, rather than visually determining the color or light absorption change.
Light absorption by either an indicator or by one of the reactants or products can be used to
monitor the titration.
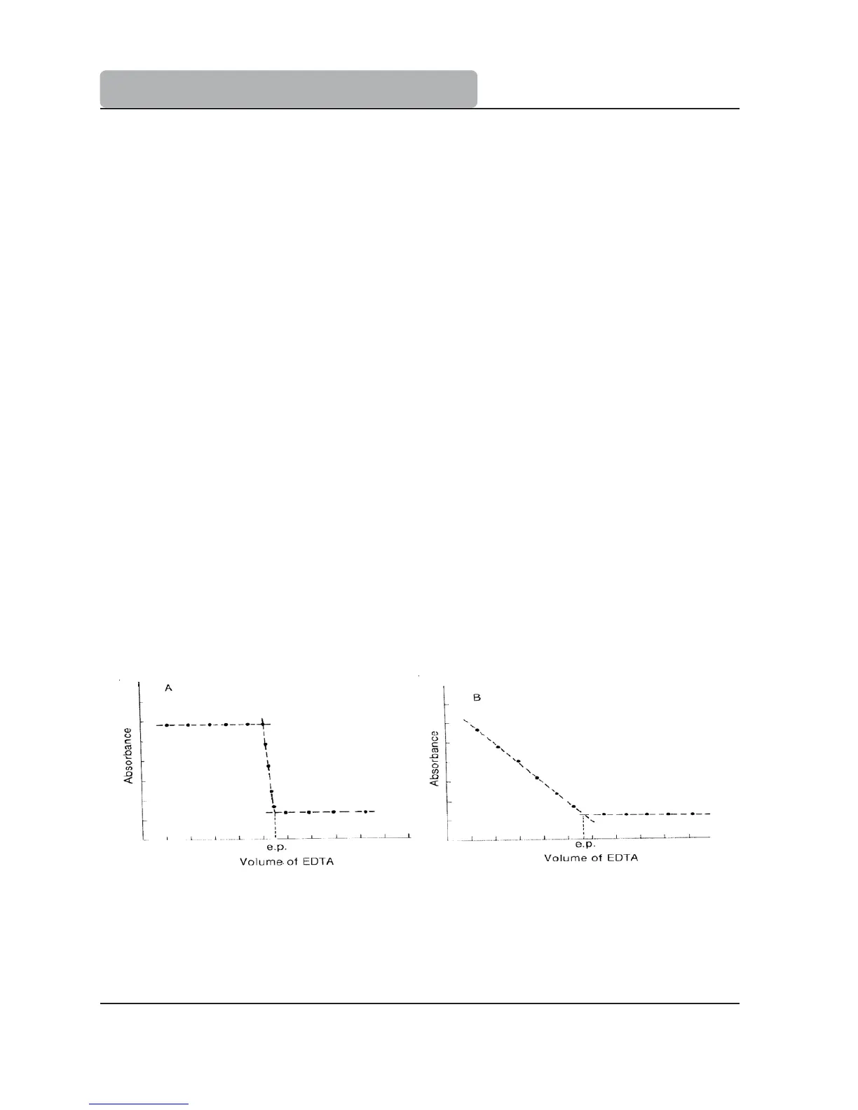
In the first titration curve, Figure 2 “A, the absorption of a metal-indicator complex is being
monitored. The absorption is constant while the metal is complexed by the EDTA titrant. The
metal indicator complex was stripped, causing a sharp break in the titration curve. The point
where all the metal is complexed and stripped from the indicator is the equivalence point. This point
is marked by “e.p.” on the graph.
In the second titration curve, Figure 2 “B”, the metal complex is being measured while being
titrated with EDTA. The new complex being formed is not colored and does not absorb light.
The extrapolated intersection of the two lines determines the equivalence point.
Figure 2.

Table of Contents

Related product manuals