EasyManua.ls Logo

Hanna Instruments HI 903 - Ion Selective Titrations; Non-Aqueous Solvent Acid-Base Titrations

Hanna Instruments HI 903
220 pages
To Next Page IconTo Next Page
To Next Page IconTo Next Page
To Previous Page IconTo Previous Page
To Previous Page IconTo Previous Page
Loading...
13
TITRATION THEORY
titrant that binds strongly to it. Often these titrants contain EDTA or CDTA, polydentate ligands
that form very stable coordination compounds with metal ions. The complexation reaction
must be fast in order to be useful for direct titration. Some metal ions react too slowly with
EDTA for a direct titration.
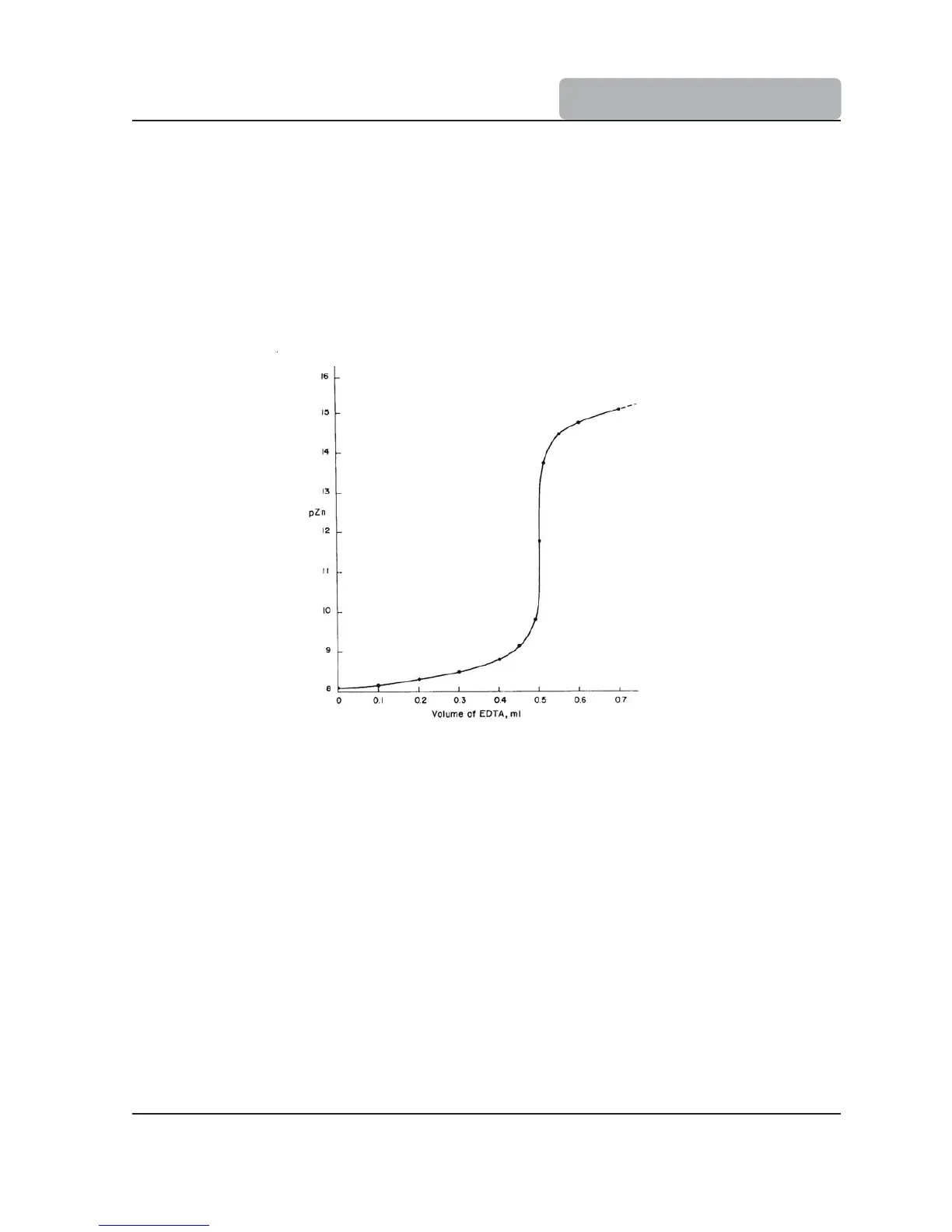
An indicator electrode that responds to the metal ion can be used to monitor the titration progress.
The titration curve will appear similar to a usual potentiometric titration. Complexation indicators
change color at the endpoint as all metal ions are “consumed”, or complexed by the titrant.
The titration curve will appear similar to a potentiometric titration, when using an indicator
electrode that responds to the metal ion (see Figure 5).
2.2.5 Ion Selective Titrations
The most popular ion selective titration is an acid-base titration. The hydrogen ion concentration
is specifically measured and monitored during the titration process to locate the equivalence
point. Using an ion selective electrode (ISE) as the indicator electrode, the potentiometric signal
(in mV) is used to directly follow a specific ion’s concentration (or activity).
Examples of ISE titrations include titrating fluoride with an aluminum titrant using a fluoride ISE,
chloride with silver nitrate using a chloride ISE, sodium with a sodium ISE, etc. The equivalence
point can be determined by plotting the mV value vs. the amount of titrant added.
2.2.6 Non-aqueous Solvent Acid-Base Titrations
Non-aqueous solvents must be used to titrate very weak acids and bases due to the inherent
leveling effect water has on all acids and based dissolved in it. A wide variety of weak acids and
bases can be titrated using non-aqueous solvents. Mixtures of acids or bases can often be individually
analyzed in a single sequential titration.
Titration of Acids
Weak acids with pK
a
’s up to about 11 can be titrated in non-aqueous solvents. These include
Figure 5.

Table of Contents

Related product manuals