EasyManua.ls Logo

Marantz NR1504 /U1B - Video Signals and Monitor Output Relationship

Marantz NR1504 /U1B
184 pages
Print Icon
To Next Page IconTo Next Page
To Next Page IconTo Next Page
To Previous Page IconTo Previous Page
To Previous Page IconTo Previous Page
Loading...
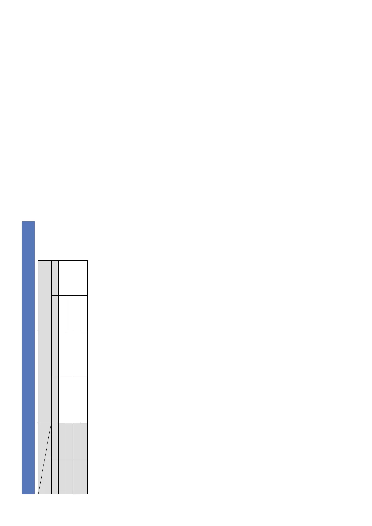
Relationship between video signals and monitor output
Output
Input
HDMI output Video output
HDMI VIDEO Video Menu Video Menu
A A
A
Only the menu is
displayed
A
A
A S
S
<VIDEO>
S A
S
<HDMI>
S
(HDMI)
A
S S
S
<VIDEO>
S
Video signal input present
A
No video signal input
S
< > The input signal between the < > marks is output.
A
No video signal output
S
( ) Superimposed on the picture indicated in ( ).
A
( ) Only the picture in ( ) is output.
NOTE
If you operate the menu while playing back 3D video content or computer’s resolution (e.g. VGA), the playback video is
replaced by the menu screen. The playback video is not displayed behind the menu screen.
This unit does not show the status display while playing back 3D video content or computer’s resolution (e.g. VGA).
The network menu is only output to TVs that support HDMI.
74

Table of Contents

Related product manuals