EasyManua.ls Logo

Schmidt PressControl 3000 - Idle-stroke monitoring

Schmidt PressControl 3000
56 pages
Print Icon
To Next Page IconTo Next Page
To Next Page IconTo Next Page
To Previous Page IconTo Previous Page
To Previous Page IconTo Previous Page
Loading...
7 Press processes
SCHMIDT
®
PressControl 3000 – V1.3
30
9.17 18.34 27.52 36.39
s[mm]
2.00
1.50
1.00
.500
0.0
F[kN]
W1
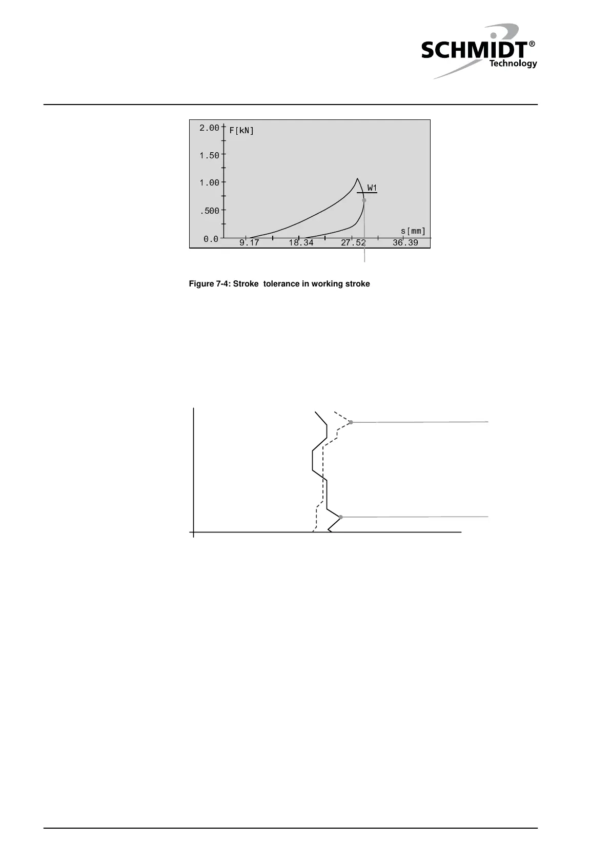
Figure 7-4: Stroke tolerance in working stroke with overcompensation
If the return stroke tolerance in the diagram is set above s
max
, it is (by
definition) in the working stroke. Consequently, “OK parts” will be interpreted
as “Not OK parts” and assigned accordingly.
Since the working stroke will change to the return stroke very rarely at a
fixed position, it may be difficult to find a suitable position for a tolerance in
the return stroke.
Figure 7-5: Different positions of s
max
1 Change from the working stroke to the return stroke (Pressing 1)
2 Change from the working stroke to the return stroke (Pressing 2)
Idle-stroke monitoring
This function allows you to monitor whether a max. allowed force (F
max
) has
not been reached or exceeded up to a certain stroke (s
x
).
If in a press process the max. allowed force is reached, an error message
will appear, and the press will move back to the TDC position.
s
max
1
2
F
s

Table of Contents