EasyManua.ls Logo

Schmidt PressControl 3000 - Stroke tolerances; Creating stroke tolerance

Schmidt PressControl 3000
56 pages
Print Icon
To Next Page IconTo Next Page
To Next Page IconTo Next Page
To Previous Page IconTo Previous Page
To Previous Page IconTo Previous Page
Loading...
10 Quality monitoring
SCHMIDT
®
PressControl 3000 – V1.3
47
2.00
1.50
1.00
.500
0.0
F[kN]
s[mm]
9.17 18.34 27.52 36.69
F1
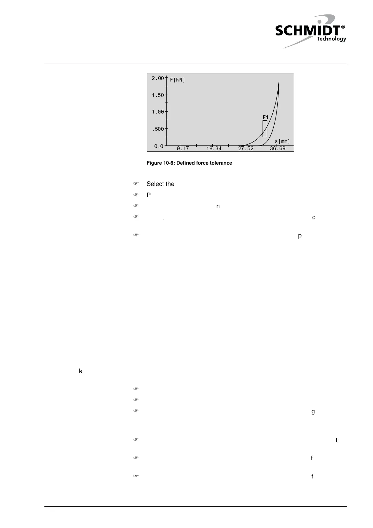
Figure 10-6: Defined force tolerance
Select the "Curve Output" system function key.
Press the "Enter" key.
Select the "Input Monitoring Data" command.
Select the "Delete Window" command. The display switches to the
curve output and a cursor appears additionally.
Move the cursor using the cursor keys to the left, upper corner of the
tolerance to be deleted, and confirm the position by pressing the "Enter"
key.
That tolerance window will always be deleted whose left, upper corner
lies closest to the cursor.
Stroke tolerances
The stroke tolerance defines a section in which an expected change in force
occurs (the slope of the curve changes upon contact between two
workpieces, e.g., socket --> pin).
If a value falls below the minimum or exceeds the maximum value of this
stroke tolerance, a suitable error message is sent to the control unit.
When defining the stroke tolerances, a distinction is made between a
tolerance in the working stroke and a tolerance in the return stroke A
maximum of four stroke tolerances can be defined.
Select the "Curve Output" system function key.
Press the "Enter" key.
Select the "Stroke Tolerance in xxx" command. By pressing repeatedly
the "Enter" key, you can select the desired stroke tolerance.
Select the "Create Stroke Tolerance" command when you want to
create a stroke tolerance in the working stroke.
Move the cursor using the cursor keys to the left corner of the desired
stroke tolerance and confirm the position by pressing the "Enter" key.
Move the cursor using the cursor keys to the right corner of the desired
stroke tolerance and confirm the position by pressing the "Enter" key.
Deleting
force/stroke window
Creating
stroke tolerance
Selecting
stroke tolerance

Table of Contents