EasyManua.ls Logo

Schmidt PressControl 3000 - Defining quality range; Force tolerances; Creating force;stroke window

Schmidt PressControl 3000
56 pages
Print Icon
To Next Page IconTo Next Page
To Next Page IconTo Next Page
To Previous Page IconTo Previous Page
To Previous Page IconTo Previous Page
Loading...
10 Quality monitoring
SCHMIDT
®
PressControl 3000 – V1.3
46
2.00
1.50
1.00
.500
0.0
F[kN]
s[mm]
9.17 18.34 27.52 36.69
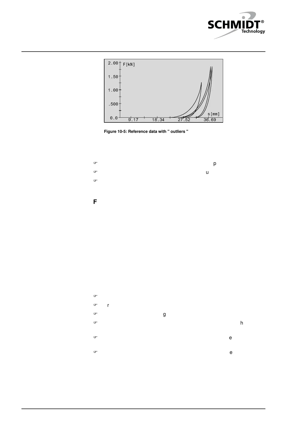
Figure 10-5: Reference data with " outliers "
After having collected the reference data, you can establish the valid quality
range.
Find out which pressing curves come from "O.K. parts".
Define the quality features of the "O.K. part" curves.
Define the force/stroke tolerances as required.
Force tolerances
The force tolerances are displayed as monitoring windows. These windows
limit the allowed minimal and maximum pressing force values within the
defined pressing stroke.
The control system continually checks if the pressing process is running
within this monitoring window. The force curve must enter from the left
vertical line of the window and leave the window by the right vertical line. If
during the working process force values occur that exceed/fall under the
defined tolerance limits, the control unit will output a suitable optical and
acoustic error signal.
A maximum of 8 monitoring windows can be defined which may overlap as
desired.
Select the "Curve Output" system function key.
Press the "Enter" key.
Select the "Input Monitoring Data" command.
Select the "Create Window" command. The display switches to the
curve output and a cursor appears additionally.
Move the cursor using the cursor keys to the left, upper corner of the
desired window and confirm the position by pressing the "Enter" key.
Move the cursor using the cursor keys to the right, lower corner of the
desired window and confirm the position by pressing the "Enter" key.
In the curve output, the tolerance window created is displayed with the
designation "F". The tolerances are numbered sequentially.
Defining quality range
Creating
force/stroke window

Table of Contents