EasyManua.ls Logo

Sony HCD-CP11 - MODE -.1-:-S+V-Sssssesssosessossesessseessssseccssteesenssenee

Sony HCD-CP11
57 pages
Print Icon
To Next Page IconTo Next Page
To Next Page IconTo Next Page
To Previous Page IconTo Previous Page
To Previous Page IconTo Previous Page
Loading...
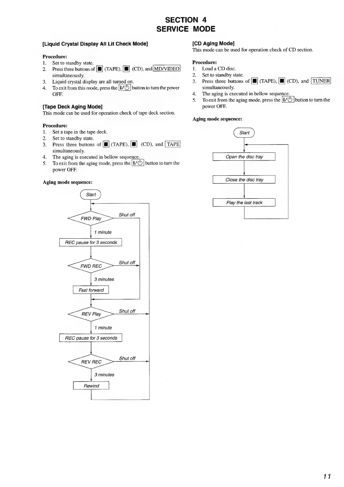
SECTION
4
SERVICE
MODE
[Liquid Crystal
Display
All
Lit
Check
Mode]
Procedure:
1.
2
3.
4.
Set
to
standby
state.
Press
three
buttons
of
[Ill]
(TAPE),
[ill]
(CD),
and[MD/VIDEO]
simultaneously.
Liquid
crystal
display
are
all
turned
on.
To
exit
from
this
mode,
press
the
button
to
turn
the
power
OFF.
[Tape
Deck
Aging
Mode]
This
mode
can
be
used
for
operation
check
of
tape
deck
section.
Procedure:
1.
Set
a
tape
in
the
tape
deck.
2.
Set
to
standby
state.
3.
Press
three
buttons
of
[Il]
(TAPE),
[Ml]
(CD),
and
simultaneously.
4.
The
aging
is
executed
in
bellow
sequence.
5.
Toexit
from
the
aging
mode,
press
the
|I/
©)
|
button
to
turn
the
power
OFF.
Aging
mode
sequence:
Shut
off
1
minute
REC
pause
for
3
seconds
3
minutes
Fast
forward
Shut
off
1
minute
[
REC
pause
for
3
seconds
|
Shut
off
3
minutes
[CD
Aging
Mode]
This
mode
can
be
used
for
operation
check
of
CD
section.
Procedure:
1.
Load
aCD
disc.
2.
Set
to
standby
state.
3.
Press
three
buttons
of
{il]
(TAPE),
[Ill]
(CD),
and
simultaneously.
4.
The
aging
is
executed
in
bellow
sequence.
5.
Toexit
from
the
aging
mode,
press
the
[1/7
|button
to
turn
the
power
OFF.
Aging
mode
sequence:
Open
the
disc
tray
Close
the
disc
tray
Play
the
last
track
17