EasyManua.ls Logo

Swegon COMPACT Unit - Outdoor Temperature Compensation

Swegon COMPACT Unit
74 pages
Print Icon
To Next Page IconTo Next Page
To Next Page IconTo Next Page
To Previous Page IconTo Previous Page
To Previous Page IconTo Previous Page
Loading...
GB.COMPACTUT.170622
Registered design. The company reserves the right to make design changes without prior notice.
www.swegon.com 25
INSTALLATION
FUNCTIONS
*FUNCTIONS*
TEMPERATURE
AIR FLOW/PRESSURE
FILTER
OPERATION
HEATING
COOLING
IN/OUTPUTS
IQnomic Plus
ALL YEAR COMFORT
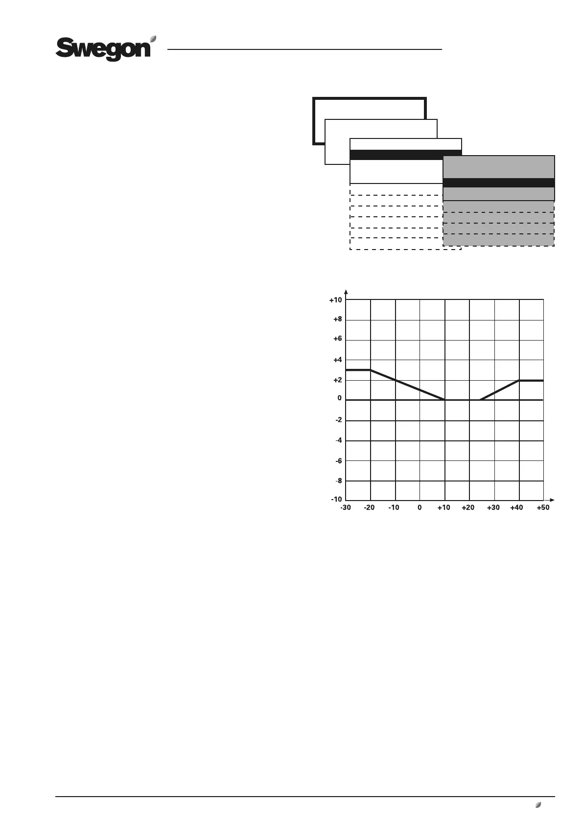
Y = Temperature displacement °C
9.2.2 Outdoor Temperature Compensation
Temperature
Outdoor temperature compensation can be activated if
the premises are abnormally subjected to the effects of
seasonal cold air or hot air due to leakage through large
windows, for instance.
The supply air temperature setpoint is compensated if the
air handling unit is operating in the supply air regulation
mode, and the extract air temperature setpoint is compen-
sated if the air handling unit is operating in the extract air
regulation mode. This function will have no effect if the
unit is operating in the ERS regulation mode.
The preset temperature setpoint is influenced if the out-
door temperature drops below the preset X2 breakpoint
(winter compensation) and above the preset X3 break-
point (summer compensation).
See the chart to the right.
It is possible to set negative summer compensation.
Settings:
Value Setting Factory
range setting
Winter compensation
Temperature displacement Y1 +0 – +20 °C +3 °C
Breakpoint X1 -30 – -10 °C -20 °C
Breakpoint X2 -10 – +15 °C +10 °C
Summer compensation
Breakpoint X3 +15 – +25 °C +25 °C
Breakpoint X4 +25 – +40 °C +40 °C
Temperature displacement Y2 -10 – +20 °C +2 °C
X = Outdoor temperature °C
X1
Y1
X2 X3
X4
Y2
Outdoor temperature compensation
Winter compensation in accordance with factory setting
involves:
Outdoor temperature +10 °C (Breakpoint X2): Compen-
sation starts and gradually takes place between 0–3 °C
down to outdoor temperature -20 °C.
Outdoor temperature -20 °C (Breakpoint X1): Constant
compensation takes place with 3 °C (temperature displa-
cement Y1).
Summer compensation in accordance with factory setting
involves:
Outdoor temperature +25 °C (Breakpoint X3): Compensa-
tion starts and gradually takes place between 0–2 °C up to
outdoor temperature +40 °C.
Outdoor temperature +40 °C (Breakpoint X4): Constant
compensation takes place with 2 °C (temperature displa-
cement Y2).
* TEMPERATURE *
TEMPERATURE REG
OUTDOOR TEMP COMP
SUMMER NIGHT COOL
INTERM. NIGHT HEAT
MORNING BOOST
SETPOINT TEMP DISPL
EXT. SENSORS

Table of Contents

Related product manuals