EasyManua.ls Logo

TDK-Lambda Z10-20 - Wave Execution Via Communication PC; Wave Execution Via Front Panel; Additional Examples; List Example

TDK-Lambda Z10-20
130 pages
Print Icon
To Next Page IconTo Next Page
To Next Page IconTo Next Page
To Previous Page IconTo Previous Page
To Previous Page IconTo Previous Page
Loading...
112
8.6.2 Wave Execution via Communication PC
1. Load stored data Insert communication command ( Example: WAVE:LOAD 2 )
2. Set COUNTER (How many times program will be repeated if STEP in AUTO mode).
Insert communication command ( Example: WAVE:COUN 2 )
3. Set Trigger IN source (BUS for Command or Front Panel and EXT via Rear Panel J3-8 pin)
Insert communication command (Example: TRIG:SOUR BUS)
4. Set Trigger Initialize Continue mode ( If 1 then after program execution power supply will
be ready for next trigger. If 0 then send INIT command to get to the next trigger. Insert
communication command (Example: INIT:CONT 1)
5. Send INIT command. (Power supply ready for TRIGGER). Insert communication command
(Example: INIT).
6. Send *TRG command or press Current Encoder.
8.6.3 Wave Execution via Front Panel
1. Load stored data MENU -> “ROG” -> “OAD” -> 2
2. Set Trigger IN source ( BUS for Command or Front Panel and EXT via Rear Panel J3.2 pin)
MENU -> “T Ri G ->TR
.
i” -> “BS
3. Set Trigger Initialize Continue mode (If 1 then after program execution power supply will be
ready for the next trigger. If 0 then send INIT command MENU -> “T ri G ” -> “CONT” -> “ENA” to
get to the next trigger.
4. Set INIT command. (Power supply ready for TRIGGER) MENU -> “T Ri G ” -> “IN IT” -> “IN IT
5. Exit from MENU and Press Current Encoder to trigger.
8.7 Additional Examples
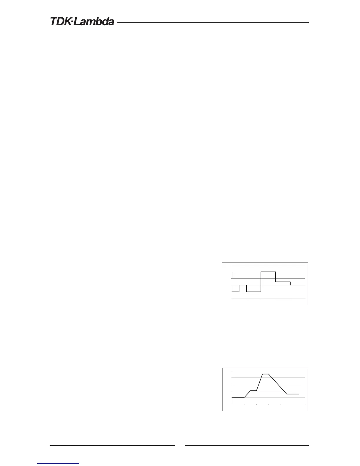
8.7.1 List Example
TRIG:SOUR BUS Select trigger source external analog signal
0
2
4
6
8
10
0
1 2 3 4 5
Times [S]
Voltage [V]
VOLT:MODE LIST Select sequence mode "LIST"
LIST:VOLT 2,4,2,8,5,4 Set voltage values "2,4,2,8,5,4" Volts
LIST:DWEL 0.5,0.5,1,1,1,1 Set dwell values "0.5,0.5,1,1,1,1" seconds
LIST:COUN 1 Set list execution time "1"
LIST:STEP AUTO Set step execution mode "AUTO"
INIT:CONT OFF Trigger subsystem enabled for a single
trigger action
INIT Trigger initializing
*TRG Trigger command
8.7.2 Waveform Example
TRIG:SOUR BUS Select trigger source via communication
interface or front panel
0
2
4
6
8
10
0 1 2 3 4 5 6
Times [S]
Voltage [V]
VOLT:MODE WAVE Select sequence mode "WAVE"
WAVE:VOLT 2,2,4,4,9,9,3,3 Set voltage values "2,2,4,4,9,9,3,3" Volts
WAVE:TIME 0,1,0.5,1,0.5,0.5,1.5,1 Set time values "0,1,0.5,1,0.5,0.5,1.5,1"
seconds
WAVE:COUN 2 Set wave execution time "2"
WAVE:STEP AUTO Set step execution mode "AUTO"
INIT:CONT ON Trigger system is continuously enabled
INIT Trigger initializing
*TRG Trigger command

Table of Contents

Related product manuals