EasyManua.ls Logo

tecan Te-VacS - Page 26

tecan Te-VacS
54 pages
Print Icon
To Next Page IconTo Next Page
To Next Page IconTo Next Page
To Previous Page IconTo Previous Page
To Previous Page IconTo Previous Page
Loading...
4 - Description of Function
Function
26 / 54 Tecan Vacuum Separator (Te-VacS™) Operating Manual, 391236, en, V4.0
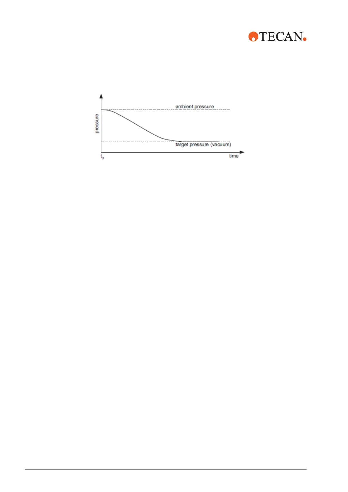
Illustration10: Pressure drop in the vacuum box during soft pumping
Reaction time in the separation columns:
t0: Start of pumping the waste bottle
The soft pumping procedure is applied if
slow processing is desired,
the substances require long reaction times,
delicate contents (filters) are placed in the separation columns.

Table of Contents