EasyManua.ls Logo

Topcon SL-D301 - OPTICAL RADIATION HAZARD; OPTICAL HAZARD WARNING

Topcon SL-D301
56 pages
Print Icon
To Next Page IconTo Next Page
To Next Page IconTo Next Page
To Previous Page IconTo Previous Page
To Previous Page IconTo Previous Page
Loading...
45
GENERAL INFORMATION ON USAGE AND MAINTENANCE
OPTICAL RADIATION HAZARD
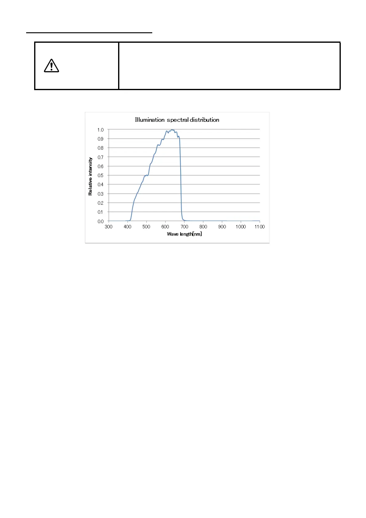
RELATIVE SPECTRAL DISTRIBUTION OF ILLUMINATION LIGHT
Because prolonged intense light exposure can damage the retina, the use of the device for ocular examination
should not be unnecessarily prolonged, and the brightness setting should not exceed what is needed to provide
clear visualization of the target structures.
The retinal exposure dose for a photochemical hazard is a product of the radiance and the exposure time. If the
value of radiance were reduced in half, twice the time would be needed to reach the maximum exposure limit.
While no acute optical radiation hazards have been identified for slit lamps, it is recommended that the intensity
of light directed into the patient's eye be limited to the minimum level which is necessary for diagnosis. Infants,
aphakes and persons with diseased eyes will be at greater risk. The risk may also be increased if the person
being examined has had any exposure with the same instrument or any other ophthalmic instrument using a vis-
ible light source during the previous 24 hours. This will apply particularly if the eye has been exposed to retinal
photography.
CAUTION
The light radiated from the instrument is potentially hazardous. The
longer the exposure time is, the higher the risk of causing disorder to
the eye is.
When operating with the maximum intensity, the light radiation
reaches values exceeding the safety guideline in about 309 sec.

Table of Contents

Related product manuals