EasyManua.ls Logo

VAMP 59 - Circuit Breaker Condition Monitoring

Default Icon
212 pages
Print Icon
To Next Page IconTo Next Page
To Next Page IconTo Next Page
To Previous Page IconTo Previous Page
To Previous Page IconTo Previous Page
Loading...
3.5 Circuit breaker condition
monitoring
3 Supporting functions
Technical description
114
VAMP 24h support phone +358 (0)20 753 3264
VM59.EN001
3.5. Circuit breaker condition monitoring
The relay has a condition monitoring function that supervises
the wearing of the circuit-breaker. The condition monitoring
can give alarm for the need of CB maintenance well before the
CB condition is critical.
The CB wear function measures the breaking current of each
CB pole separately and then estimates the wearing of the CB
accordingly the permissible cycle diagram. The breaking
current is registered when the trip relay supervised by the
circuit breaker failure protection (CBFP) is activated. (See
chapter 2.11 for CBFP and the setting parameter "CBrelay".)
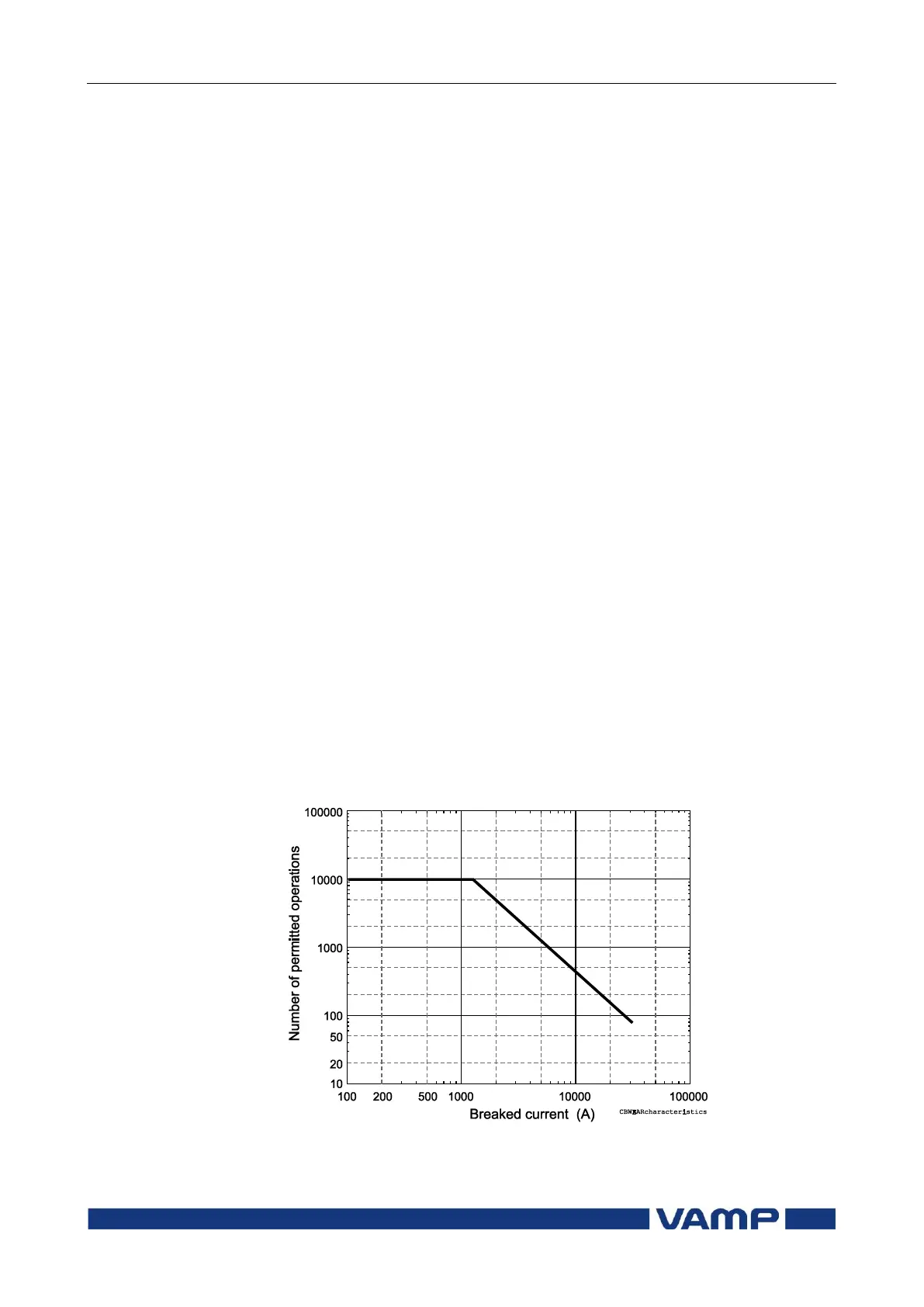
Breaker curve and its approximation
The permissible cycle diagram is usually available in the
documentation of the CB manufacturer (Figure 3-2). The
diagram specifies the permissible number of cycles for every
level of the breaking current. This diagram is parameterised to
the condition monitoring function with maximum eight
[current, cycles] points. See Table 3.5-1. If less than eight
points needed, the unused points are set to [I
BIG
, 1], where I
BIG
is more than the maximum breaking capacity.
If the CB wearing characteristics or part of it is a straight line
on a log/log graph, the two end points are enough to define that
part of the characteristics. This is because the relay is using
logarithmic interpolation for any current values falling in
between the given current points 2...8.
The points 4...8 are not needed for the CB in Figure 3-2. Thus
they are set to 100 kA and one operation in the table to be
discarded by the algorithm.
Figure 3-2 An example of a circuit breaker wearing characteristic graph.

Table of Contents

Related product manuals