EasyManua.ls Logo

XCMG XCT80 - Instrument buzzer alarm

Default Icon
250 pages
Print Icon
To Next Page IconTo Next Page
To Next Page IconTo Next Page
To Previous Page IconTo Previous Page
To Previous Page IconTo Previous Page
Loading...
XCT80 Truck Crane Operation Manual
6-7
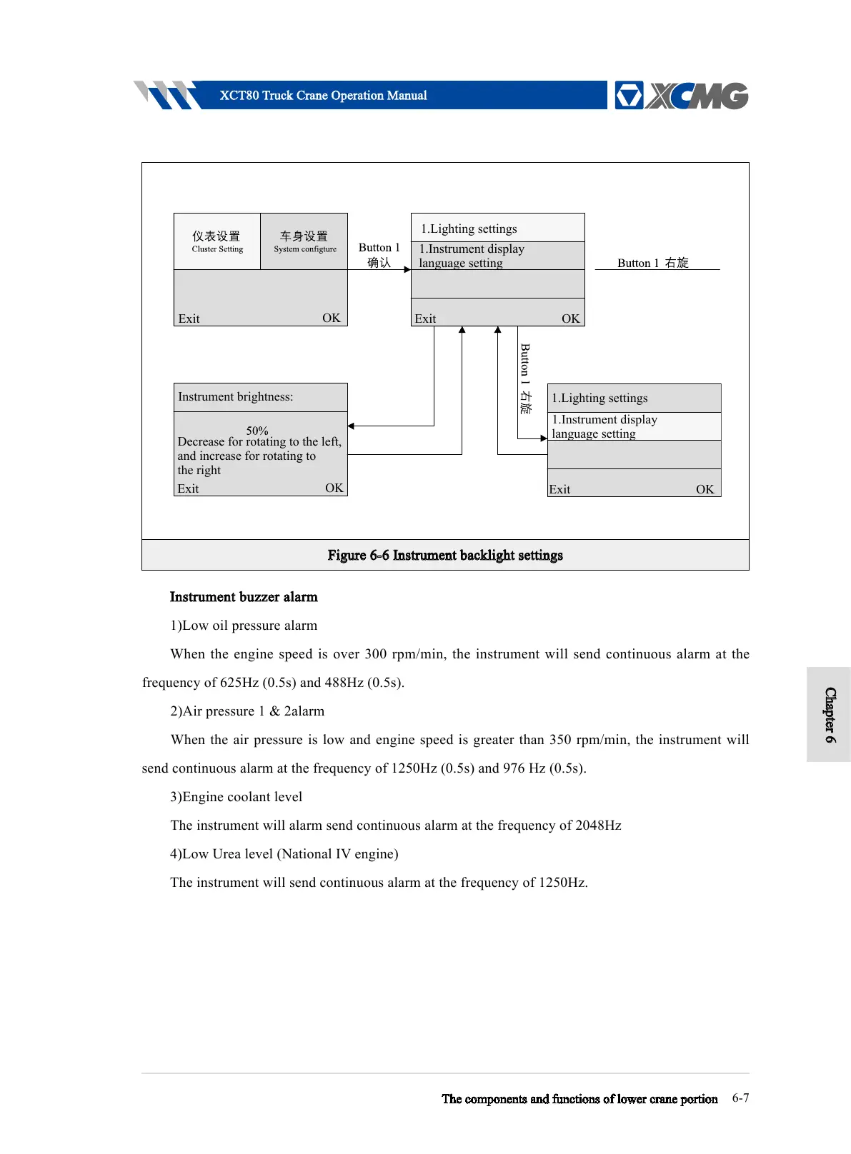
Figure 6-6 Instrument backlight settings
Instrument buzzer alarm
1)Low oil pressure alarm
When the engine speed is over 300 rpm/min, the instrument will send continuous alarm at the
frequency of 625Hz (0.5s) and 488Hz (0.5s).
2)Air pressure 1 & 2alarm
When the air pressure is low and engine speed is greater than 350 rpm/min, the instrument will
send continuous alarm at the frequency of 1250Hz (0.5s) and 976 Hz (0.5s).
3)Engine coolant level
The instrument will alarm send continuous alarm at the frequency of 2048Hz
4)Low Urea level (National IV engine)
The instrument will send continuous alarm at the frequency of 1250Hz.
The components and functions of lower crane portion
Chapter 6
Exit
Exit
Exit
OK
OK
OK
Exit OK
1.Lighting settings
1.Lighting settings
1.Instrument display
language setting
1.Instrument display
language setting
Instrument brightness:
Decrease for rotating to the left,
and increase for rotating to
the right
Courtesy of CraneMarket.com

Table of Contents

Related product manuals