EasyManua.ls Logo

AEG Modicon Micro 84 - Counters

AEG Modicon Micro 84
126 pages
Print Icon
To Next Page IconTo Next Page
To Next Page IconTo Next Page
To Previous Page IconTo Previous Page
To Previous Page IconTo Previous Page
Loading...
where:
Input 1
The timer is activated when power is connected to Input 1. A normally open
contact is usually in this input line.
Input 2
The timer is enabled (able to be activated) when power is connected to
Input 2 and is reset when power is removed. A normally closed contact is
usually in this input line.
Preset
The upper element of the timer (preset) is used for setting the time period
in seconds, or in tenths of seconds, that is to elapse before Output 1 is
activated. The preset can be a fixed value (up to 999) or a register. When
the preset is a register (reference number 300X or 40Xx), the content of the
register (a value up to 999) is used as the preset value. This register may
be used by all timers having the same preset value.
Accumulated Time
The lower element of the timer must be a register (reference number 40Xx)
in which the actual (accumulated) time is stored. This holding register
must be unique for this timer.
output 1
Output 1 is a normally open circuit that becomes a closed circuit when the
accumulated time equals the preset time. Remains closed until the timer
is reset or until the equality no longer exists.
output 2
Output 2 is a normally closed circuit that becomes an open circuit when
the accumulated time equals the preset time. Remains open until the timer
is reset or until the equality no longer exists.
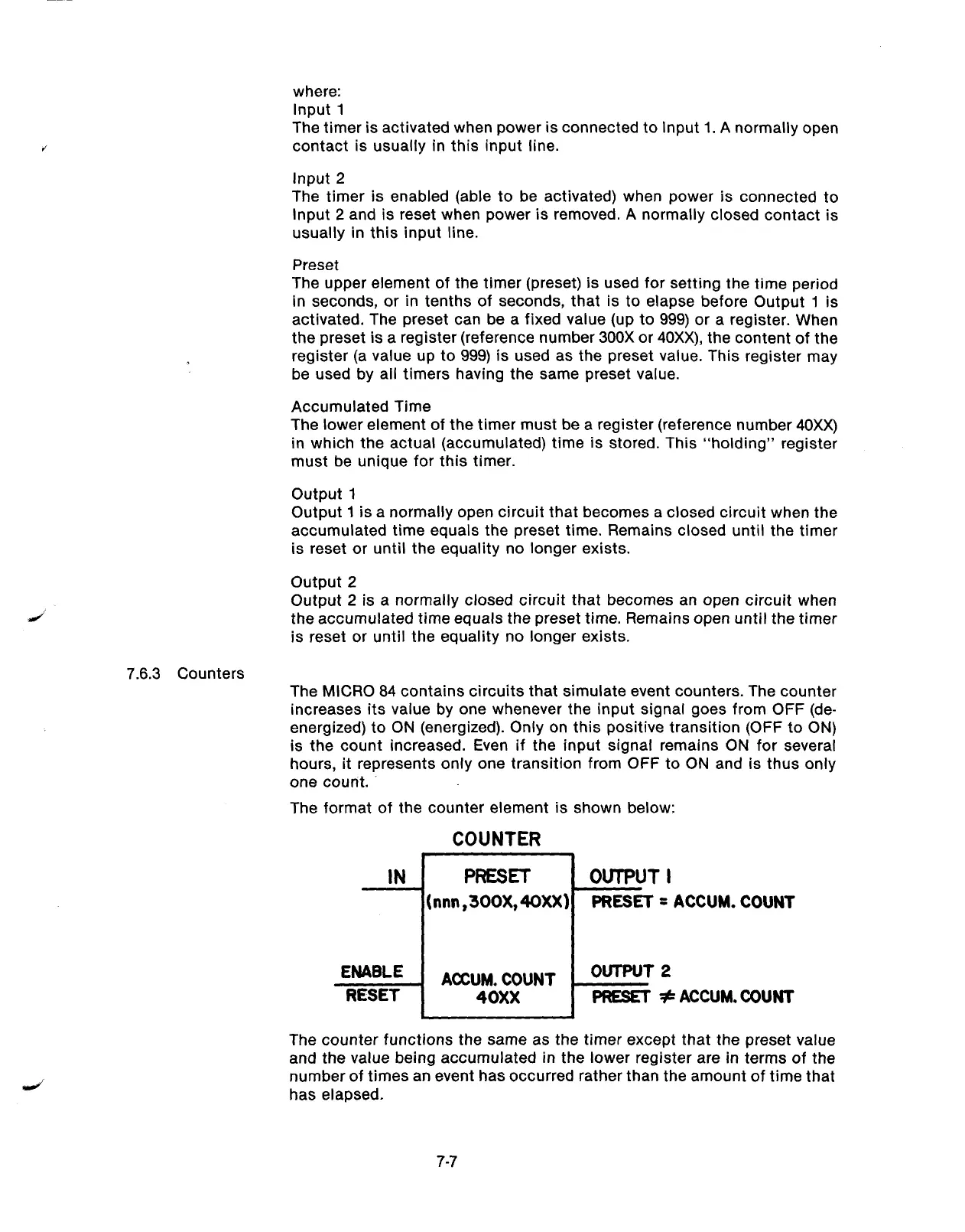
7.6.3 Counters
The MICRO 84 contains circuits that simulate event counters. The counter
increases its value by one whenever the input signal goes from OFF (de-
energized) to ON (energized). Only on this positive transition (OFF to ON)
is the count increased. Even if the input signal remains ON for several
hours, it represents only one transition from OFF to ON and is thus only
one count.
The format of the counter element is shown below:
COUNTER
ENABLE
ACCUM. COUNT
OUTPUT 2
RESET
4oxx
PRESET # ACCUM. COUNT
The counter functions the same as the timer except that the preset value
and the value being accumulated in the lower register are in terms of the
number of times an event has occurred rather than the amount of time that
has elapsed.
7-7
Artisan Technology Group - Quality Instrumentation ... Guaranteed | (888) 88-SOURCE | www.artisantg.com

Table of Contents

Related product manuals