EasyManua.ls Logo

Canon NP6012F - Electrical Circuitry

Canon NP6012F
253 pages
Print Icon
To Next Page IconTo Next Page
To Next Page IconTo Next Page
To Previous Page IconTo Previous Page
To Previous Page IconTo Previous Page
Loading...
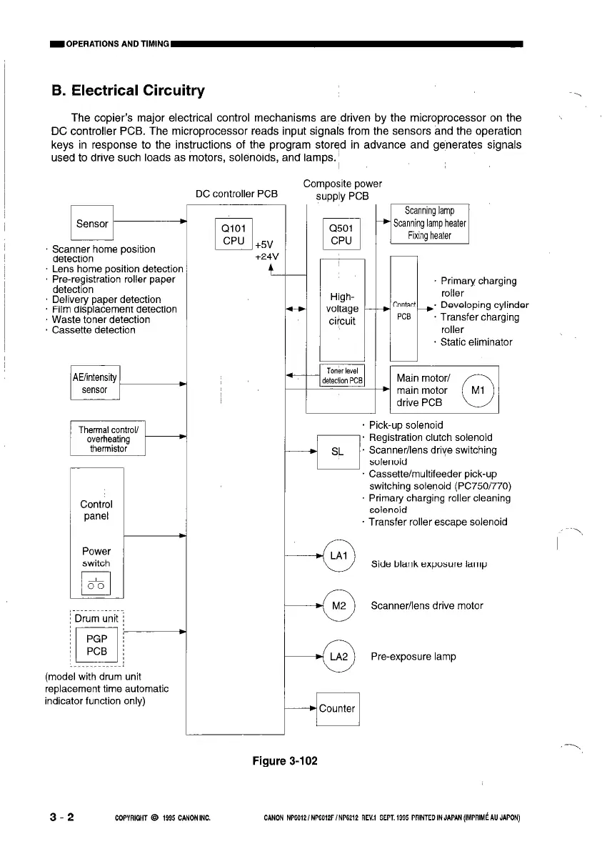
B. Electrical Circuitry
The copier’s major electrical control mechanisms are driven by the microprocessor on the
DC controller PCB. The microprocessor reads input signals from the sensors and the operation
keys in response to the instructions of the program stored in advance and generates signals
used to drive such loads as motors, solenoids, and lamps. ~
DC controller PCB
Composite power
supply PCB
Scanner home position
detection
Lens home position detection
Preregistration roller paper
detection
Delivery paper detection
Film displacement detection
Waste toner detection
Cassette detection
(model with drum unit
replacement time automatic
indicator function only)
I QIOI I
I CPU 1+5”
+24V
t
i
j
1
Primary charging
roller
Developing cylinder
. Transfer charging
I.
roller
f Static eliminator
Pick-up solenoid
Registration clutch solenoid
jyi solenoid
Scanner/lens drive switching
Cassette/multifeeder pick-up
switching solenoid (PC750/770)
Primary charging roller cleaning
solenoid
. Transfer roller escape solenoid
\
I
Side blank exposure lamp
t
Scanner/lens drive motor
Pre-exposure lamp
-I
Counter
Figure 3-l 02
3-2
COPYRIGHT 0 1995 CANON INC.
CANON NP6012/NP9012F/NP6212 REV.1 SEPT.1995 PAINTEDIN JAPAN (IMPRIME AU JAPON)

Table of Contents

Related product manuals