EasyManua.ls Logo

Canon NP6012F - Detecting Jams

Canon NP6012F
253 pages
Print Icon
To Next Page IconTo Next Page
To Next Page IconTo Next Page
To Previous Page IconTo Previous Page
To Previous Page IconTo Previous Page
Loading...
E. Detecting Jams
The copier is equipped with two copy paper sensors to check the presence/absence of
copy paper and whether it is moving normally.
l pre-registration roller paper sensor (0751)
l delivery sensor (PS3)
The presence/absence of copy paper or a jam is checked in reference to the
presence/absence of copy paper at the respective sensors at such times as stored in the micro-
processor in advance.
The copier keeps a record of the remaining number of copies to make or the copy mode
effective at time of a jam. The microprocessor has the following five ‘no paper/jam’ detection
sequences, and it also identifies a jam if any of the sensor detects copy paper at power-on.
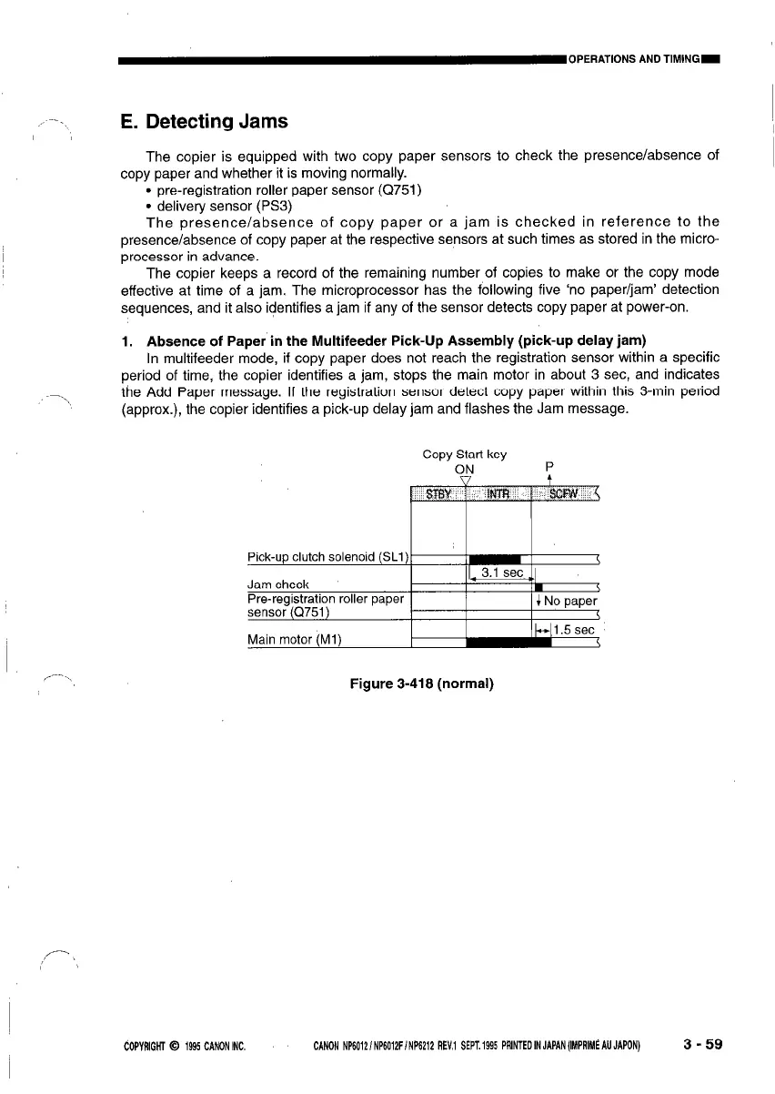
1. Absence of Paper in the Multifeeder Pick-Up Assembly (pick-up delay jam)
In multifeeder mode, if copy paper does not reach the registration sensor within a specific
period of time, the copier identifies a jam, stops the main motor in about 3 set, and indicates
\
the Add Paper message. If the registration sensor detect copy paper within this 3-min period
(approx.), the copier identifies a pick-up delay jam and flashes the Jam message.
Copy Stan key
ON
P
Figure 3-418 (normal)
dOPVAlGHl 0 1995 CANON INC. CANON NP6012/NP6Q12F/NP6212 REV.1 SEPT.1995 PRlNTEDINJAPAN(I%PRIM~AUJAPON)
3-59

Table of Contents

Related product manuals