EasyManua.ls Logo

DLS FlexxPump 125 - Error E2 (no Cartridge)

DLS FlexxPump 125
40 pages
Print Icon
To Next Page IconTo Next Page
To Next Page IconTo Next Page
To Previous Page IconTo Previous Page
To Previous Page IconTo Previous Page
Loading...
32 BA FlexxPump 125 - 24 V_20181121_EN de 201811
External Control
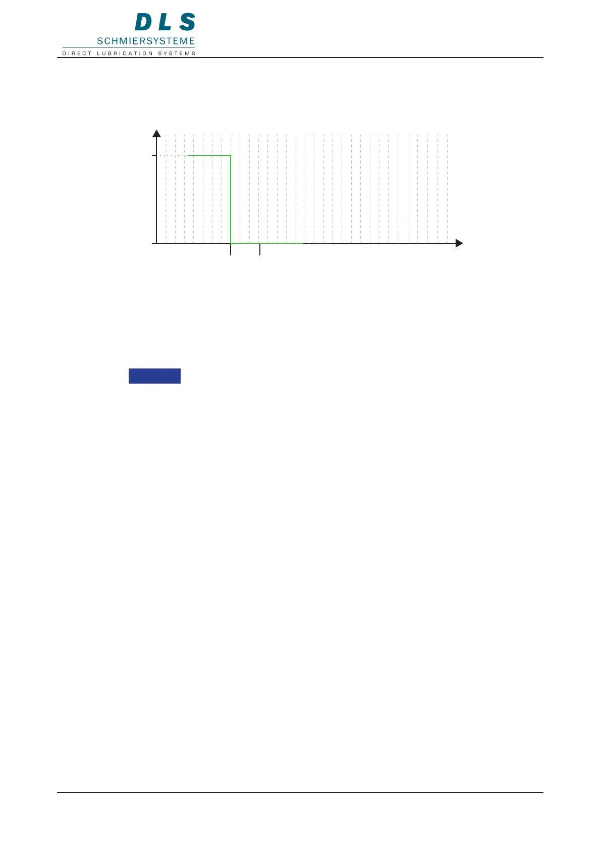
7.2.3. Error E2 (No cartridge)
The error E2 signals that no cartridge is screwed onto the FlexxPump 125.
U
0 V
24 V
t
> 3 s
PIN 4
Description:
The sensor probe of the FlexxPump 125 detects whether a cartridge is screwed onto the
FlexxPump 125. The capacity is not detected.
The error E2 interrupts current dosing processes and prevents further control signals.
The error E2 is displayed until a cartridge is screwed on; the error must not be
acknowledged.
Note
A broken cartridge may not be screwed back on. Only full cartridges may be screwed on
because the counter is reset after removing a cartridge.

Other manuals for DLS FlexxPump 125

Related product manuals