EasyManua.ls Logo

Draytek VigorAP 900 - Page 98

Draytek VigorAP 900
207 pages
Print Icon
To Next Page IconTo Next Page
To Next Page IconTo Next Page
To Previous Page IconTo Previous Page
To Previous Page IconTo Previous Page
Loading...
VigorAP 900 User’s Guide
88
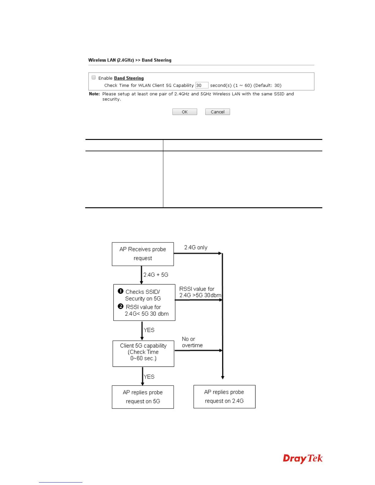
Open Wireless LAN (2.4GHz)>>Band Steering to get the following web page:
Available settings are explained as follows:
Item Description
Enable Band Steering
If it is enabled, VigorAP will detect if the wireless client is
capable of dual-band or not within the time limit.
Check Time…. – If the wireless station does not have the
capability of 5GHz network connection, the system shall
wait and check for several seconds (30 seconds, in default)
to make the 2.4GHz network connection. Specify the time
limit for VigorAP to detect the wireless client.
After finishing this web page configuration, please click OK to save the settings.
Below shows how Band Steering works.

Table of Contents

Other manuals for Draytek VigorAP 900

Related product manuals