EasyManua.ls Logo

Ercogener GenPro 425e - Power Supply Dimensioning

Ercogener GenPro 425e
51 pages
Print Icon
To Next Page IconTo Next Page
To Next Page IconTo Next Page
To Previous Page IconTo Previous Page
To Previous Page IconTo Previous Page
Loading...
EG_GenPro425e_1103_UG_001_UK.docx
Page 22 / 51
Descriptions and non-contractual illustrations in this document are given as an indication only.
ercogener reserves the right to make any modifications.
Dct_427_02
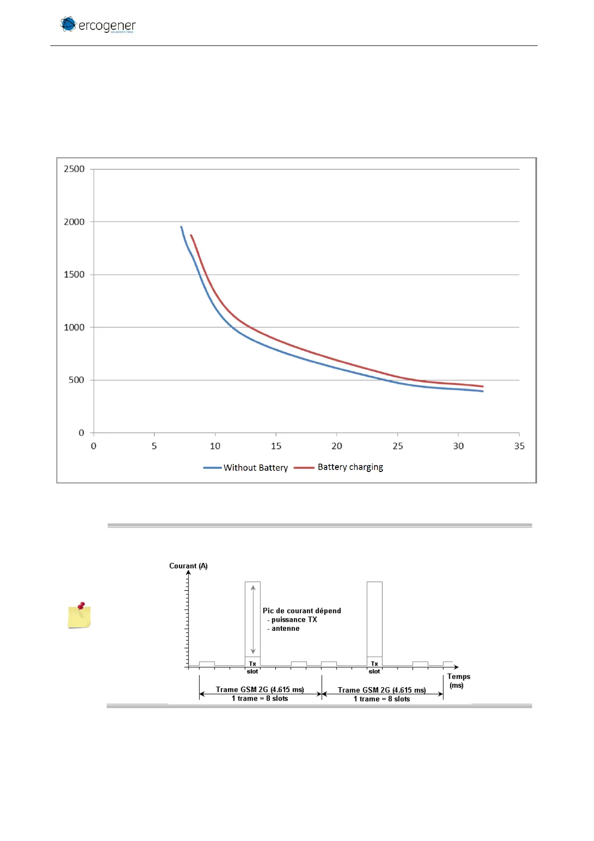
3.4.4.1 Power supply dimensioning
The below graph shows the maximum peak current. The power supply must be able to supply this current
during the GSM "Burst".
Figure 8 : Max consumption
mA versus V
This consumption is not permanent. It corresponds to the burst consumption during GSM
communications.

Table of Contents

Other manuals for Ercogener GenPro 425e

Related product manuals