EasyManua.ls Logo

Forma Scientific 3158 - Section 5 - Operation; Operation; Overview of Humidification and CO 2

Forma Scientific 3158
84 pages
Print Icon
To Next Page IconTo Next Page
To Next Page IconTo Next Page
To Previous Page IconTo Previous Page
To Previous Page IconTo Previous Page
Loading...
Forma Scientific, Inc.
_________________________________________________________________________
5-1
SECTION 5 - OPERATION
5.1 OPERATION
The water jacket is filled with approximately 13 gallons (49 liters) of water through
the fill fitting located on the front of the unit. The water is then warmed by the chamber
heater, providing very stable heating of the incubator chamber. Not only does the water
stay at a constant temperature with a minimum of heater on-time, but it also acts as
insulation from ambient temperature conditions.
Temperature control is maintained by a proportional, zero-switching device which
provides temperature uniformity throughout the chamber. A separate and independent
over temperature controller assures product safety by assuming control at the over temp
setpoint if the primary controller malfunctions. Should an over temp condition develop,
the monitor alarm system will alert the operator that a malfunction has occurred.
An internal blower gently circulates the air in the chamber to prevent CO
2
stratification and minimize culture desiccation.
5.2 OVERVIEW OF HUMIDIFICATION AND CO
2
Thermal conductivity of the air inside of the incubator is affected not only by the
quantity of CO
2
present, but by the quantity of water vapor present in the incubator
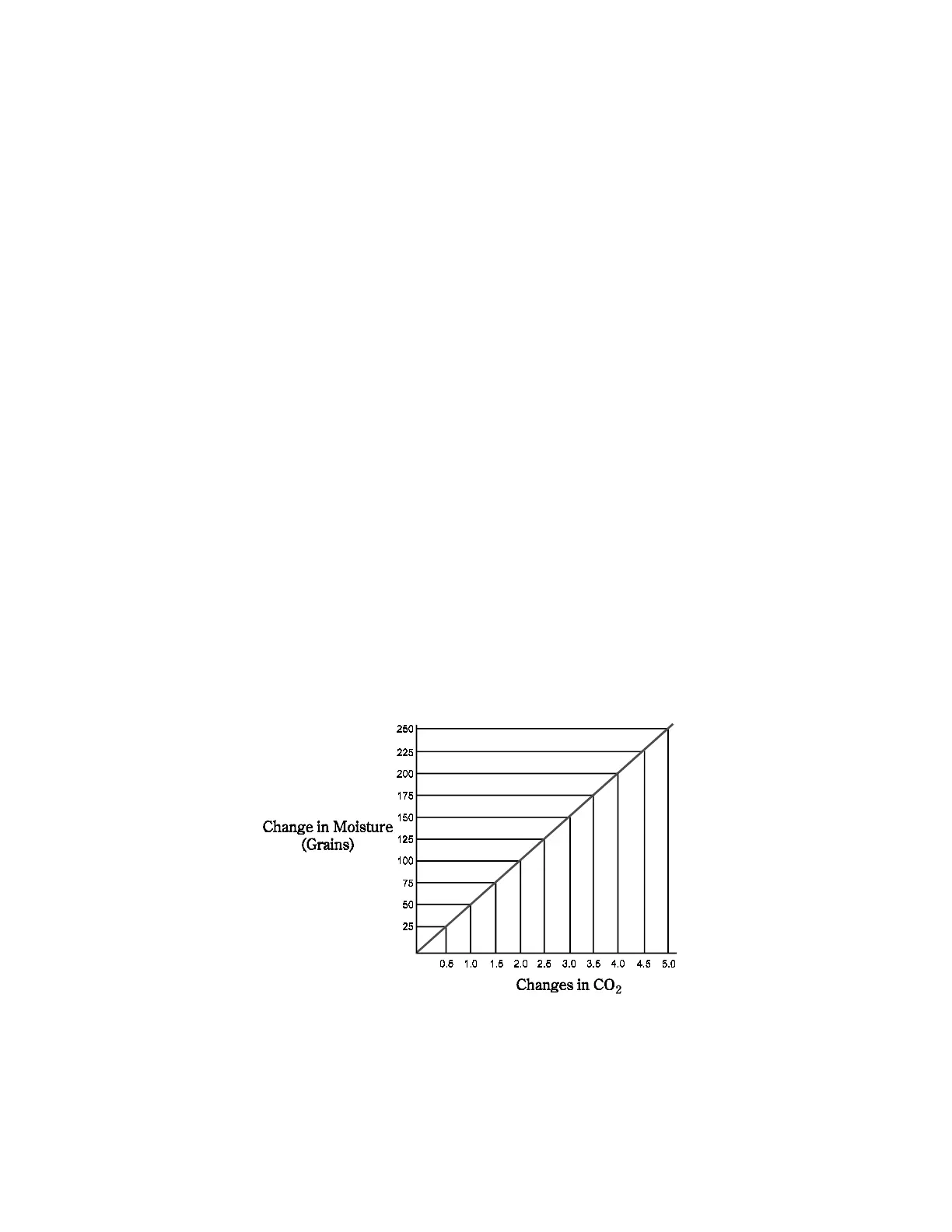
atmosphere. This effect is linearly related to the absolute humidity of the atmosphere (See
figure below).
Moisture Effect on CO
2
Control Calibration
Figure 5-1

Table of Contents

Related product manuals