EasyManua.ls Logo

GE MiCOM P40 Agile - Page 784

GE MiCOM P40 Agile
802 pages
To Next Page IconTo Next Page
To Next Page IconTo Next Page
To Previous Page IconTo Previous Page
To Previous Page IconTo Previous Page
Loading...
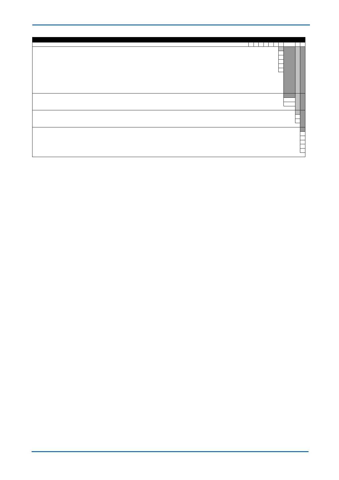
Appendix A - Ordering Options
P543i/P545i
Current differential - With distance backup, 1/3 pole autoreclose and check synchronising P543 **
Variants Order No.
Language
English, French, German, Spanish 0
English, French, German, Italian (Not yet available!) 4
English, French, German, Russian * 5
English, Italian, Polish and Portuguese *** 7
Chinese, English or French via HMI, with English or French only via Communications port ** C
* Design Suffix G, J, K & M only
** Design Suffix K and M with 42/52 software and later only
*** Design Suffx M with 65/66/75/76 software
Software version
Without Distance 4*/6*
With Distance 5/7/8*
Customer specific options
Standard version 0
Customer version A
Hardware version
Phase 2 Enhanced Coprocessor, wide range opto B
Enhanced Main Processor (CPU2) with hotkeys G
As G plus dual characteristic optos J
Extended main processor (XCPU2) With Function Keys & Tri-colour LEDs K
As K plus increased main processor memory (XCPU3), Cyber Security M
A2
P54x1i-TM-EN-1

Table of Contents

Related product manuals