EasyManua.ls Logo

Highlight PREDATOR XS - Power Problem Diagnosis

Highlight PREDATOR XS
97 pages
Print Icon
To Next Page IconTo Next Page
To Next Page IconTo Next Page
To Previous Page IconTo Previous Page
To Previous Page IconTo Previous Page
Loading...
PREDATOR XS TURNTABLE STRETCH WRAPPER OPERATION MANUAL
HIGHLIGHT INDUSTRIES, INC. ● 2694 PRAIRIE SW; WYOMING; MI 49519 ● 1-800-531-2465
V-2
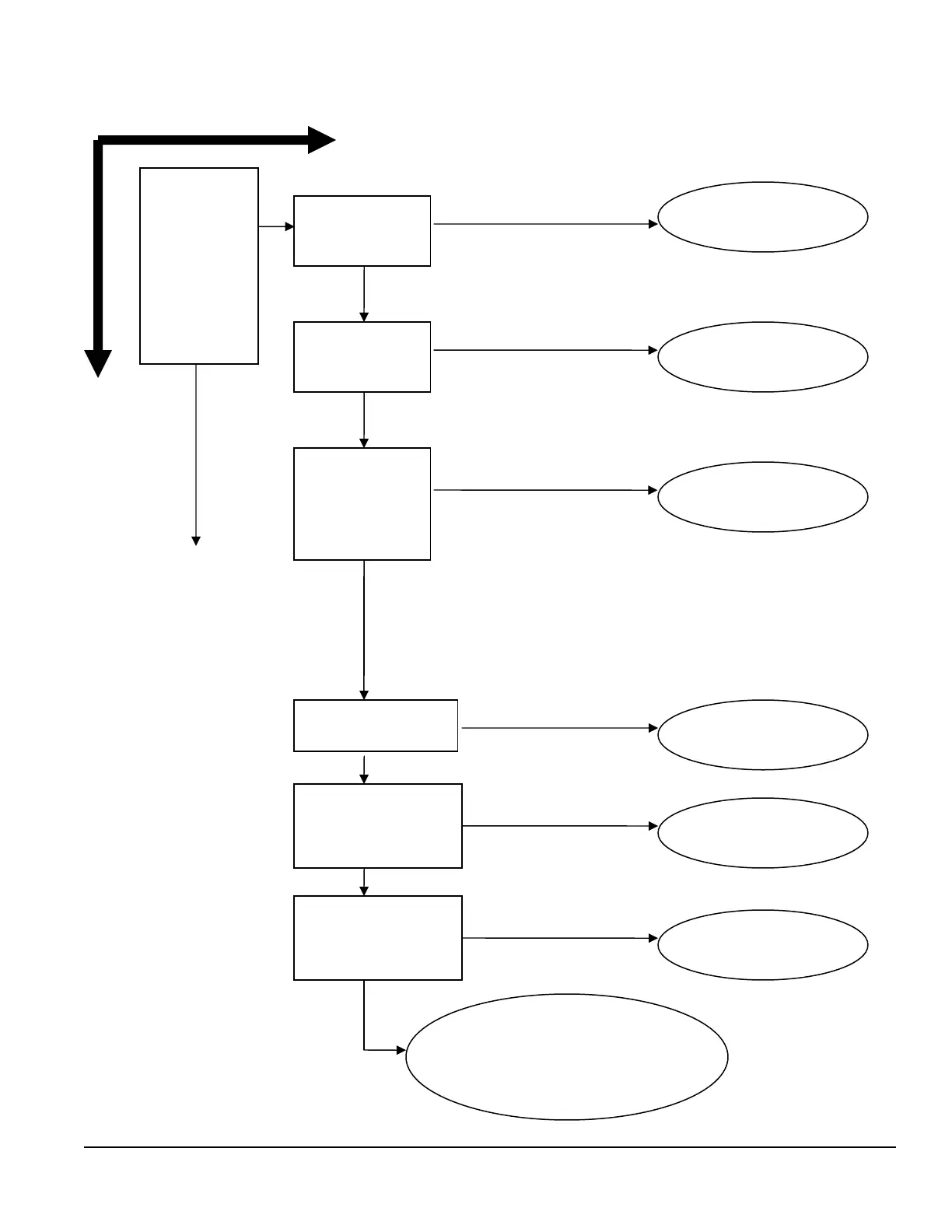
Turn the
disconnect
switch to ON
position. Pull
the “STOP”
button
fully out,
then release.
Is the power
LED on?
Is the electrical
control box
closed?
NO
YES
Turntable Problems: pg. V-3
Film Carriage Problems: pg. V-5
Film Delivery Problems: pg. V-9
Is the system plugged
into a 120VAC outlet?
Close the control box
properly.
Use a voltmeter to test
supply voltage from the
plant’s outlet. Is it
reading 120VAC?
Plug machine into a
120VAC outlet.
Use a voltmeter to test
continuity of the power
cord. Does it have
continuity?
Replace the power
cord to the machine.
Plug machine into a
120VAC outlet.
Is the film
carriage loading
door closed?
Close the carriage
door properly.
Is the film
carriage foot
safety switch,
located on the
bottom of the
carriage, clear?
Remove obstruction
from the switch.
Power is supplied to the machine.
Turntable Problems: pg. V-5
Film Carriage Problems: pg. V-8
Film Delivery Problems: pg. V-12
Power Problem

Table of Contents

Related product manuals