EasyManua.ls Logo

Highlight PREDATOR XS - Film Carriage Problem Diagnosis

Highlight PREDATOR XS
97 pages
Print Icon
To Next Page IconTo Next Page
To Next Page IconTo Next Page
To Previous Page IconTo Previous Page
To Previous Page IconTo Previous Page
Loading...
PREDATOR XS TURNTABLE STRETCH WRAPPER OPERATION MANUAL
HIGHLIGHT INDUSTRIES, INC. ● 2694 PRAIRIE SW; WYOMING; MI 49519 ● 1-800-531-2465
V-5
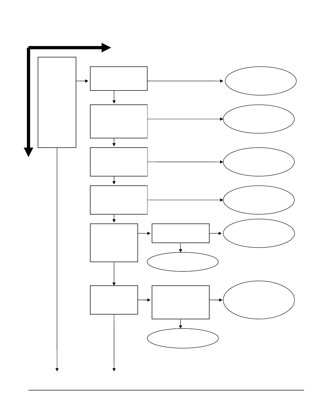
NO
YES
Locate the film
carriage frequency
drive inside the
electrical
enclosure. Is the
LED display on?
Is the frequency
drive functioning
(i.e. no faults
reported)?
Refer to frequency
drive manufacturer’s
manual for specific
fault.
Push the “STOP”
button. Wait sixty
seconds, and then pull
the button out. Does
this clear the fault?
Adjust potentiometer
towards 100% to set
speed
Is the “Film Carriage
Speed” potentiometer
dial set high enough?
Tighten wiring,
replace dial if
necessary.
Use a voltmeter to test
resistance of the
potentiometers. Are
they reading 5K
across?
Refer to Power
Problem
above.
With machine
power
properly
supplied, use
the “Film
Carriage”
selector
switch on the
operator
panel to
manually
raise or lower
the film
carriage.
Does it
move?
Problem fixed. Film
carriage is ready.
Continued to page V-6
Is the film carriage
circuit breaker on?
Switch the circuit
breaker on.
Locate the carriage
limit switch lever arm.
Can it move up and
down freely?
Remove obstruction,
and/or clean limit
switch head.
Use a voltmeter to test
the continuity of the
limit switch. Is it wired
properly?
Tighten wiring,
replace limit switch if
necessary.
Film Carriage Problem

Table of Contents

Related product manuals