EasyManua.ls Logo

Highlight PREDATOR XS - Page 55

Highlight PREDATOR XS
97 pages
Print Icon
To Next Page IconTo Next Page
To Next Page IconTo Next Page
To Previous Page IconTo Previous Page
To Previous Page IconTo Previous Page
Loading...
PREDATOR XS TURNTABLE STRETCH WRAPPER OPERATION MANUAL
HIGHLIGHT INDUSTRIES, INC. ● 2694 PRAIRIE SW; WYOMING; MI 49519 ● 1-800-531-2465
V-4
NO
YES
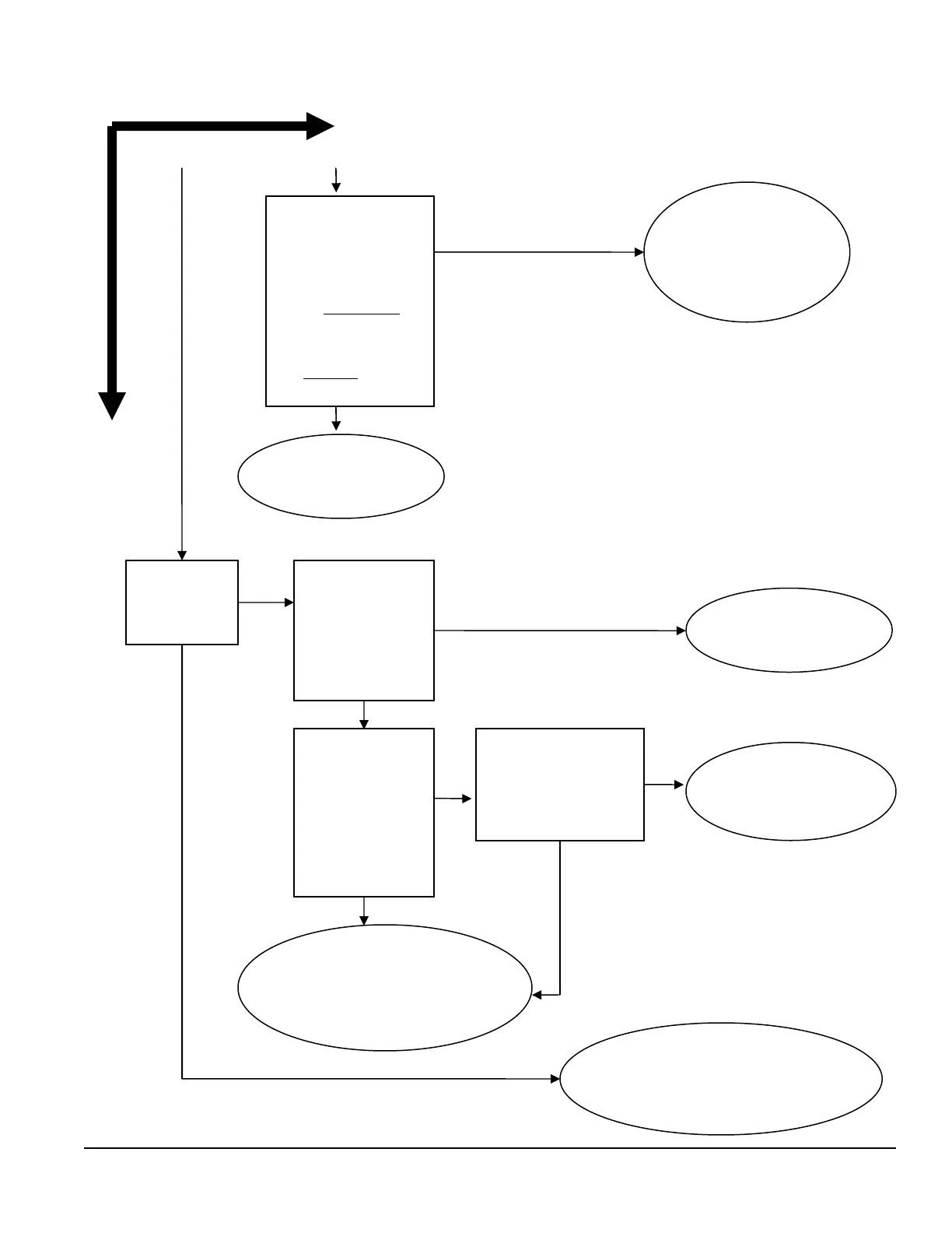
Continued from page V-3
Replace the
turntable frequency
drive.
Remove the turntable
motor wires off the
frequency drive;
connect them to the
film carriage frequency
drive. Raise or lower
the film carriage
manually using the
selector switch on the
operator panel. Is the
turntable motor
running?
Check turntable
motor for
mechanical
restrictions. Replace
if necessary.
Locate the
turntable home
proximity switch or
photo sensor input
to the PLC. Does
the indicator light
turn on when the
table is at home
position?
At the end of
a cycle, does
the turntable
stop at home?
Tighten power wiring
to the sensor,
replace if necessary.
Clear obstructions and
adjust sensor to pick
up target. Does the
indicator light turn on
now when the table is
at home position?
Check conditions of the
frequency drive and
potentiometer dial as detailed
above. Intermittent problem
may occur. Repeat cycle.
Look up the
frequency drive
parameters setting
listed on the
electrical
schematics. Are
all parameters set
properly?
Restore drive
parameters setting.
Turntable is functioning normally.
Film Carriage Problems: pg. V-5
Film Delivery Problems: pg. V-9

Table of Contents

Related product manuals