EasyManua.ls Logo

HP 8904A - Page 68

HP 8904A
281 pages
Print Icon
To Next Page IconTo Next Page
To Next Page IconTo Next Page
To Previous Page IconTo Previous Page
To Previous Page IconTo Previous Page
Loading...
Operation
Model
8904A
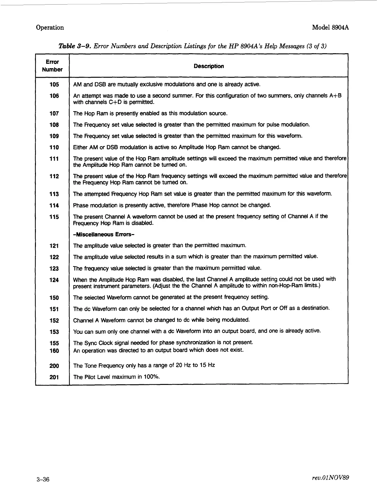
able
3-9.
Error
Numbers
ana'
Description
Listings
for
the
HP
8904A's
Help
Messages
(3
of
3)
Error
Number
105
106
107
108
109
110
111
112
113
114
115
12T
122
123
124
150
151
152
153
155
1
60
200
201
Description
~~
AM and DSB are mutually exclusive modulations and one is already active.
An attempt was made
to
use a second summer. For this configuration of
two
summers, only channels A+B
with channels C+D is permitted.
The Hop Ram is presently enabled as this modulation source.
The Frequency set value selected is greater than the permitted maximum for pulse modulation.
The Frequency set value selected is greater than the permitted maximum for this waveform.
Either AM or DSB modulation is active
so
Amplitude Hop Ram cannot be changed.
The present value
of
the Hop Ram amplitude settings will exceed the maximum permitted value and therefon
the Amplitude Hop Ram cannot be turned
on.
The present value of the Hop Ram frequency settings will exceed the maximum permitted value and therefor
the Frequency Hop Ram cannot be turned on.
The attempted Frequency Hop Ram set value is greater than the permitted maximum for this Waveform.
Phase modulation is presently active, therefore Phase Hop cannot be changed.
The present Channel
A
waveform cannot be used at the present frequency setting of Channel
A
if the
Frequency Hop Ram is disabled.
-Miscellaneous
Errors-
The amplitude value selected is greater than the permitted maximum.
The amplitude value selected results in a sum which is greater than the maximum permitted value.
The frequency value selected is greater than the maximum permitted value.
When the Amplitude Hop Ram was disabled, the last Channel A amplitude setting could not be used with
present instrument parameters. (Adjust the the Channel
A
amplitude to within non-Hop-Ram limits.)
The selected Waveform cannot be generated at the present frequency setting.
The dc Waveform can only be selected for a channel which has an Output Port or
Off
as a destination.
Channel
A
Waveform cannot be changed to dc while being modulated.
You can sum only one channel with a dc Waveform into an output board, and one is already active.
The Sync Clock signal needed for phase synchronization is not present.
An operation was directed to an output board which does not exist.
The Tone Frequency only has a range of
20
Hz
to
15
Hz
The Pilot Level maximum in
100%.
3-36
rev.OlNOV89
Artisan Technology Group - Quality Instrumentation ... Guaranteed | (888) 88-SOURCE | www.artisantg.com

Table of Contents

Other manuals for HP 8904A

Related product manuals