EasyManua.ls Logo

HP HP-18C - Page 148

HP HP-18C
226 pages
Print Icon
To Next Page IconTo Next Page
To Next Page IconTo Next Page
To Previous Page IconTo Previous Page
To Previous Page IconTo Previous Page
Loading...
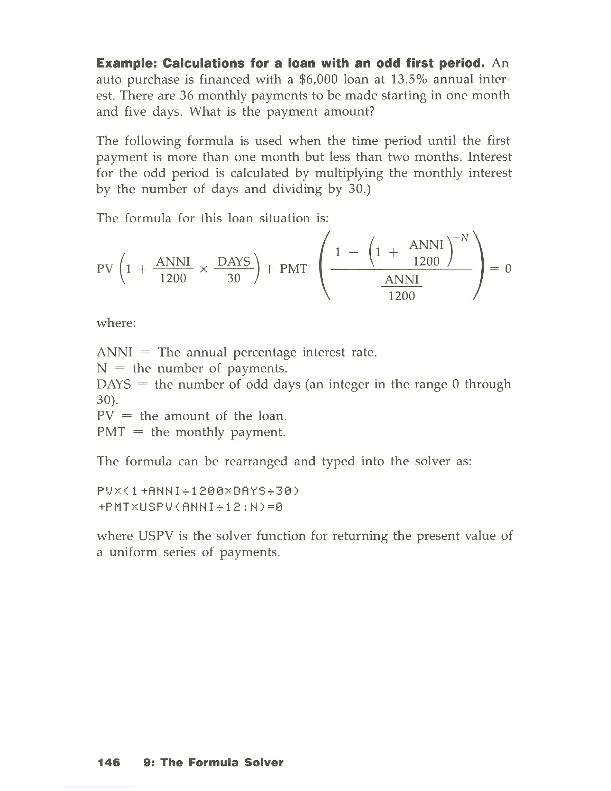
Example: Calculations for a loan with an odd
first
period.
An
auto
purchase
is
financed
with
a $6,000
loan
at
13.5%
annual
inter-
est.
There
are 36
monthly
payments
to
be
made
starting
in
one
month
and
five days.
What
is
the
payment
amount?
The
following
formula
is
used
when
the
time
period
until
the
first
payment
is
more
than
one
month
but
less
than
two
months.
Interest
for
the
odd
period
is calculated
by
multiplying
the
monthly
interest
by
the
number
of
days
and
dividing
by
30.)
The
formula
for this
loan
situation
is:
PV
(1
+ ANNI x DAYS) + PMT
(1
1200
30
_
(1
+
ANNI)-N)
1200 = 0
ANNI
1200
where:
ANNI
=
The
annual
percentage
interest rate.
N
=
the
number
of
payments.
DAYS
=
the
number
of
odd
days
(an integer
in
the
range
0
through
30).
PV
=
the
amount
of
the
loan.
PMT
=
the
monthly
payment.
The
formula
can
be
rearranged
and
typed
into
the
solver as:
PVXC1+ANNI+1200xDAYS+30)
+PMTxUSPVCANNI+12:N)=0
where
USPV is
the
solver
function
for
returning
the
present
value
of
a
uniform
series
of
payments.
146
9:
The
Formula
Solver

Table of Contents

Related product manuals