EasyManua.ls Logo

Hytera PNC550 - Troubleshooting Flowchart; Main Board Circuit

Hytera PNC550
99 pages
Print Icon
To Next Page IconTo Next Page
To Next Page IconTo Next Page
To Previous Page IconTo Previous Page
To Previous Page IconTo Previous Page
Loading...
Troubleshooting Flowchart
B9
22
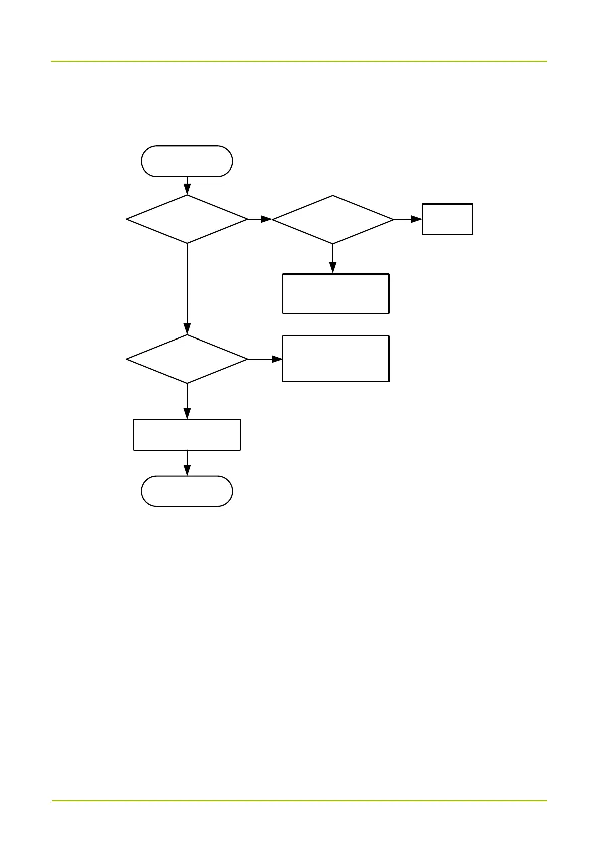
6. Troubleshooting Flowchart
6.1.1 Main Board Circuit
Press the On-Off key
to turn the radio on
.
Doe s th e mot or vibrate ?
Yes
Damag ed key FP C or ke y
con nector o n t he main b oard.
Rep lace the key FP C or th e ke y
con nector .
Yes
Rep lace the
main boa rd.
Damag ed LCD o r L CD
con nector o n t he main b oard.
Rep lace the LCD o r t he LC D
con nector .
No
Rep lace the mai n b oa rd
.
St art
End
Replace
th e LCD or LCD co nne cto r
on the main board. Can th e rad io b e
turned on normally?
[1]
Con ne ct th e rad i o t o a
power supply with USB.
Can th e rad io b e t ur ne d o n
normally?
No
Yes
No
Description of normal situation:
[1] The motor vibrates and the LCD displays the start-up animation. The operation interface can be
accessed.

Related product manuals