EasyManua.ls Logo

IDEC MICROSmart FC6A Series - Page 622

IDEC MICROSmart FC6A Series
662 pages
Print Icon
To Next Page IconTo Next Page
To Next Page IconTo Next Page
To Previous Page IconTo Previous Page
To Previous Page IconTo Previous Page
Loading...
13: T
ROUBLESHOOTING
13-14 FC6A S
ERIES
MICROS
MART
U
SER
S
M
ANUAL
FC9Y-B1722
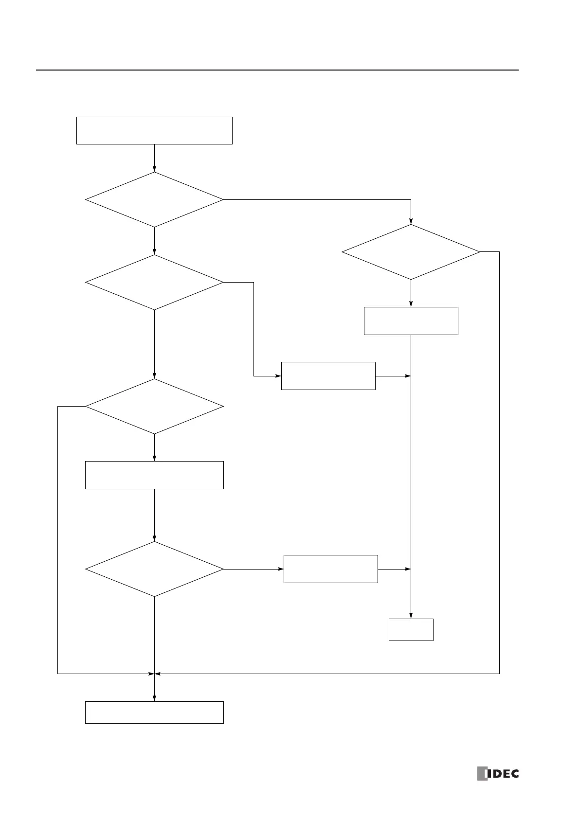
Troubleshooting Diagram 4
Are wiring and
operation of external
devices correct?
Is the input terminal
powered correctly?
Is the input
wiring correct?
Input does not operate normally.
END
YES
NO
Are input device
addresses correct?
Call IDEC for assistance.
Correct the external
device wiring.
Is the input device on?
Correct the program.
YES
NO
NO
YES
NO
YES
YES
NO
Correct the input wiring.
Supply the rated voltage to the input
terminal.
Note: Check the on state for the input with the
WindLDR monitor or the device monitor on the
HMI module.

Table of Contents

Other manuals for IDEC MICROSmart FC6A Series

Related product manuals