EasyManua.ls Logo

Kidde IG-55 - Page 35

Kidde IG-55
220 pages
Print Icon
To Next Page IconTo Next Page
To Next Page IconTo Next Page
To Previous Page IconTo Previous Page
To Previous Page IconTo Previous Page
Loading...
General Information
06-237619-001 1-13 April 2020
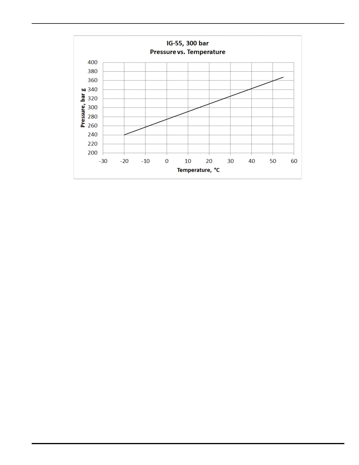
Figure 1-8. IG-55 Pressure/Temperature Curve Isometric Diagram for 300 bar, SI Units

Table of Contents

Related product manuals