EasyManua.ls Logo

Korg wavestate native - Filter Parameters; Filter Type Descriptions; Filter Cutoff Parameter; Filter Resonance Parameter

Korg wavestate native
91 pages
To Next Page IconTo Next Page
To Next Page IconTo Next Page
To Previous Page IconTo Previous Page
To Previous Page IconTo Previous Page
Loading...
Synthesis page
20
Filter
Type
[Polysix, MS-20 LP, MS-20 HP, 2-pole LP, 2-pole HP, 2-pole
BP, 2-pole BR, 4-pole LP, 4-pole HP, 4-pole BP, 4-pole BR,
Multi Filter]
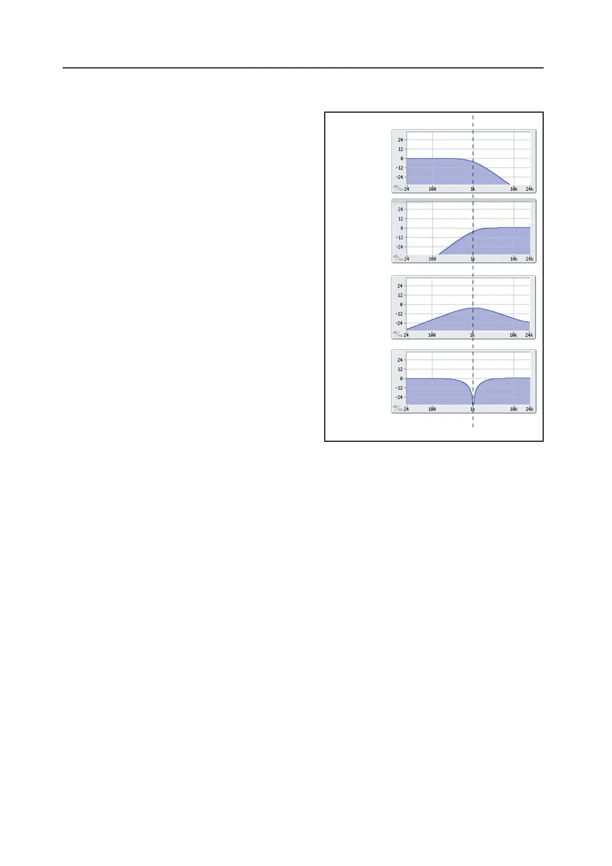
LP (Low Pass). is cuts out the parts of the sound which
are higher than the cuto frequency. Low Pass is the most
common type of lter, and is used to make bright timbres
sound darker.
HP (High Pass). is cuts out the parts of the sound which
are lower than the cuto frequency. You can use this to make
timbres sound thinner or more buzzy.
BP (Band Pass). is cuts out all parts of the sound, both highs
and lows, except for the region around the cuto frequency.
Since this lter cuts out both high and low frequencies, its
eect can change dramatically depending on the cuto setting
and the oscillator’s multisample.
With low resonance settings, you can use the Band Pass lter
to create telephone or vintage phonograph sounds. With
higher resonance settings, it can create buzzy or nasal timbres.
BR (Band Reject). is lter type–also called a notch lter
cuts only the parts of the sound directly around the cuto
frequency. Try modulating the cuto with an LFO to create
phaser-like eects.
2-pole LP, HP, BP, and BR: ese produce 12dB/octave slopes
for LP and HP, and 6dB/octave for BP and BR. A classic
synthesizer expander module used this type of lter.
4-pole LP, HP, BP, and BR: ese produce 24dB/octave slopes
for LP and HP, and 12dB/octave for BP and BR. In comparison to 2-pole lters, these create a sharper roll-o beyond
the cuto frequency with more delicate resonance. Many classic analog synths used this general type of lter.
Multi Filter. is is a complex lter which is capable of all of the 2-pole lter types, and many more besides. See “Multi
Filter” on page 22.
MS-20 LP and HP: ese 12dB/octave, self-resonating lters lovingly recreate the distinctive timbral signature of the
classic Korg MS-20. Raising Resonance will cause increasing amounts of saturation and overdrive, creating a more
aggressive tone. Input volume can have a strong eect on this character; for more information, see “Gain” on page 22.
Polysix: is 24dB/octave, self-resonating low-pass lter provides the strong, sweet sound of the classic Korg Polysix.
Cuto
[-4.00 or +8.00…+136.00 or +138.00 semitones]
is controls the cuto frequency of the lter, in semitones mapped to MIDI note numbers (60.00 = middle C). e
frequency in Hz is also shown. e specic eect of the cuto frequency will change depending on the selected Type, as
described above. Most lter types have a range of -4.00 to +138.00, but the MS-20 LP/HP and Polysix range from +8.00
to +136.00.
Resonance
[0.00…100.00%]
Resonance emphasizes the frequencies around the cuto frequency, as shown in the diagram below.
When this is set to 0, there is no emphasis, and frequencies beyond the cuto will simply diminish smoothly.
At medium settings, the resonance will alter the timbre of the lter, making it sound more nasal, or more extreme.
At very high settings, the resonance can be heard as a separate, whistling pitch.
Low Pass
High Pass
Band Pass
Band Reject
Cuto Frequency

Related product manuals