EasyManua.ls Logo

Mastervolt MLI Ultra 12/2750

Mastervolt MLI Ultra 12/2750
44 pages
To Next Page IconTo Next Page
To Next Page IconTo Next Page
To Previous Page IconTo Previous Page
To Previous Page IconTo Previous Page
Loading...
MLI Ultra 12/2750, 12/5500, 24/5500 User and Installation Manual
43
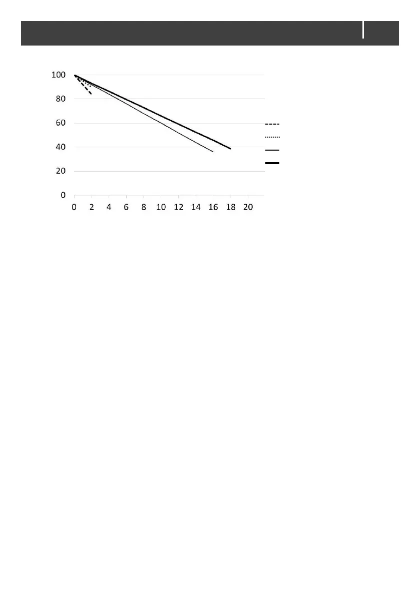
Self-discharge in reflection to the storage temperature
Capacity (%)
40°C / 140°F
30°C / 86°F
25°C / 77°F
20°C / 68°F
Storage in months*
* Provided that MasterBus power is off and there is no communication to the BMS.

Related product manuals