EasyManua.ls Logo

Omron BU5002R - Battery Life

Omron BU5002R
135 pages
Print Icon
To Next Page IconTo Next Page
To Next Page IconTo Next Page
To Previous Page IconTo Previous Page
To Previous Page IconTo Previous Page
Loading...
Reference documents
C. Battery life
BU5002R/BU3002R/BU3002RH
134
C. Battery life
■ Battery life
The sealed lead battery used in the battery units has a limited life. Inspection should be
performed periodically. See “4-2 Checking the battery” (page 95) for the inspection
procedure.
It is recommended that the battery is replaced before its life expires.
Battery life
(Trickle life = life when the battery is discharged once or twice per month with infrequent
charging and discharging)
Battery types
Expected battery life
(ambient
temperature 40°C)
Expected battery life
(ambient
temperature 30°C)
Expected battery life
(ambient
temperature 25°C)
Long life battery
1.7 years
3.5 years
5 years
* Basically the ambient temperature has a great effect on the life.
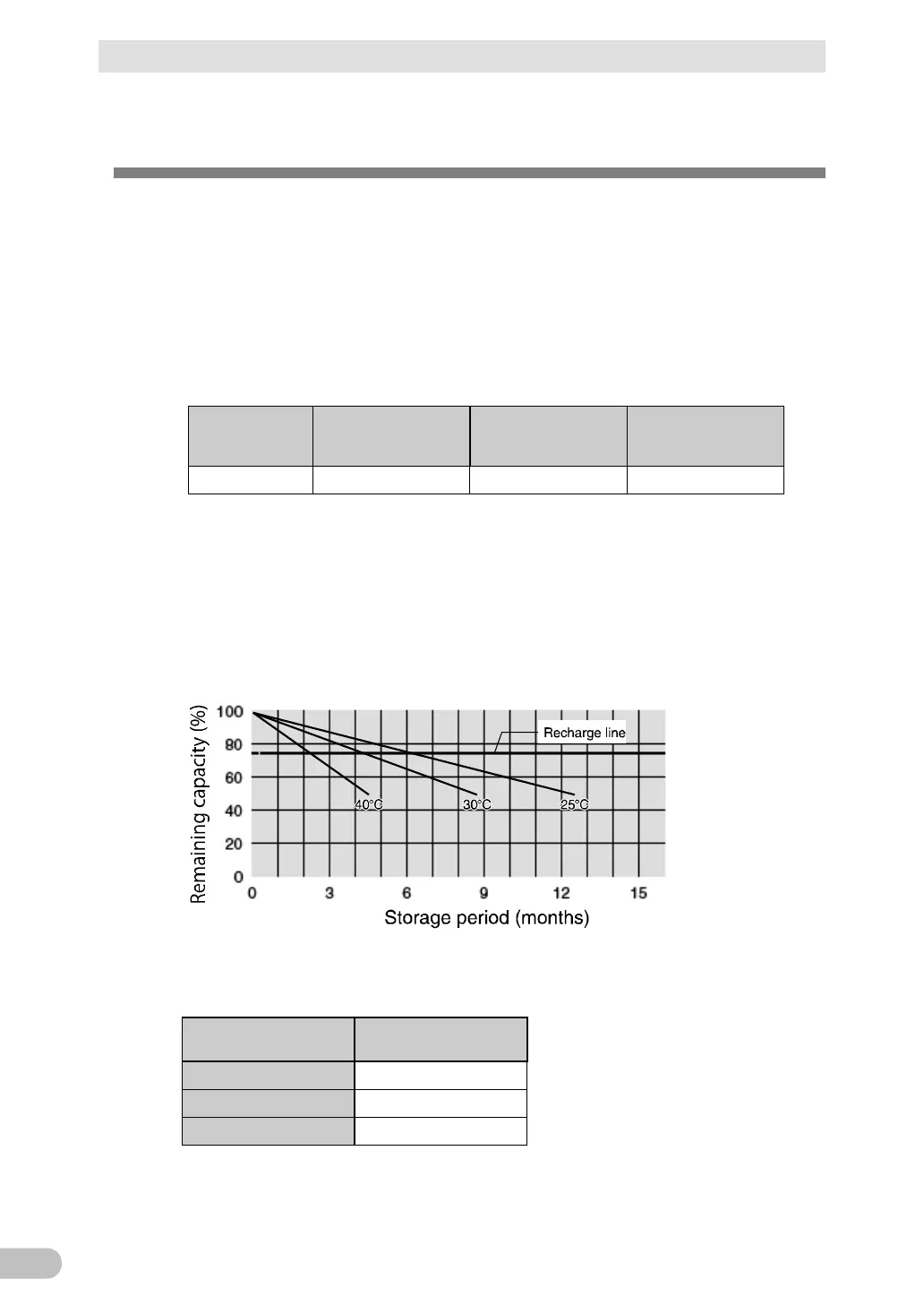
■ Periodic recharging during battery storage
When in storage without using the UPS (without charging the battery), the battery self-discharges,
and if this discharging continues, degradation of the battery will progress, and in the worst case it
will become unusable. Therefore it is necessary that it is recharged periodically.
Examples of storage
Under storage at 25°C, a battery will self-discharge down to 80% after 6 months, and down
to 50% after 1 year (the battery capacity becomes smaller). The higher the storage
temperature, the faster the speed of self-discharge.
Storage temperature
Auxiliary charging
interval
40°C or lower
2 months
30°C or lower
4 months
25°C or lower
6 months

Table of Contents