EasyManua.ls Logo

Omron R88D-KN series

Omron R88D-KN series
570 pages
To Next Page IconTo Next Page
To Next Page IconTo Next Page
To Previous Page IconTo Previous Page
To Previous Page IconTo Previous Page
Loading...
A-133
Appendicies
G5 Series AC Servo Drives With Built-in EtherCAT Communications, Linear Motor Type
A-3 Sysmac Error Status Codes
App
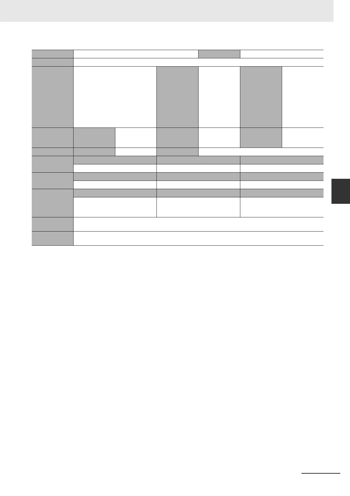
A-3-2 Error Description
Event name Interface Input Duplicate Allocation Error 2 Event code 38460000 hex
Meaning There is a duplicate setting in the input signal (IN5, IN6, IN7, and IN8) function allocations.
Source EtherCAT Master Function Module Source details Slave Detection
timing
When
establishing
communications
after turning ON
power to the
slave or when
transferring
EtherCAT
Configuration
Setup
Error attributes Level Minor fault Recovery Error reset (after
cycling slave
power)
Log category System
Effects User program Continues. Operation Power drive circuit is OFF for relevant slave.
Indicators EtherNet/IP NET RUN EtherNet/IP NET ERR EtherNet/IP LINK/ACT
--- --- ---
System-defined
variables
Variable Data type Name
None --- ---
Cause and
correction
Assumed cause Remedy Prevention
There is a duplicate setting in the
input signal (IN5, IN6, IN7, and IN8)
function allocations.
Allocate the functions to the
connector pins so that each function
is allocated only once.
Allocate the functions to the
connector pins so that each function
is allocated only once.
Attached
information
None
Precautions/
Remarks
33 is displayed on the Servo Drive front panel and F133 is given as the AlarmCode (4001 hex).

Table of Contents

Related product manuals