EasyManua.ls Logo

Panasonic 616 - Page 8

Panasonic 616
247 pages
Print Icon
To Next Page IconTo Next Page
To Next Page IconTo Next Page
To Previous Page IconTo Previous Page
To Previous Page IconTo Previous Page
Loading...
Section 300
Issue I August 1990
INTRODUCTION
%s
S-DBS Installation Instructions
VI.0
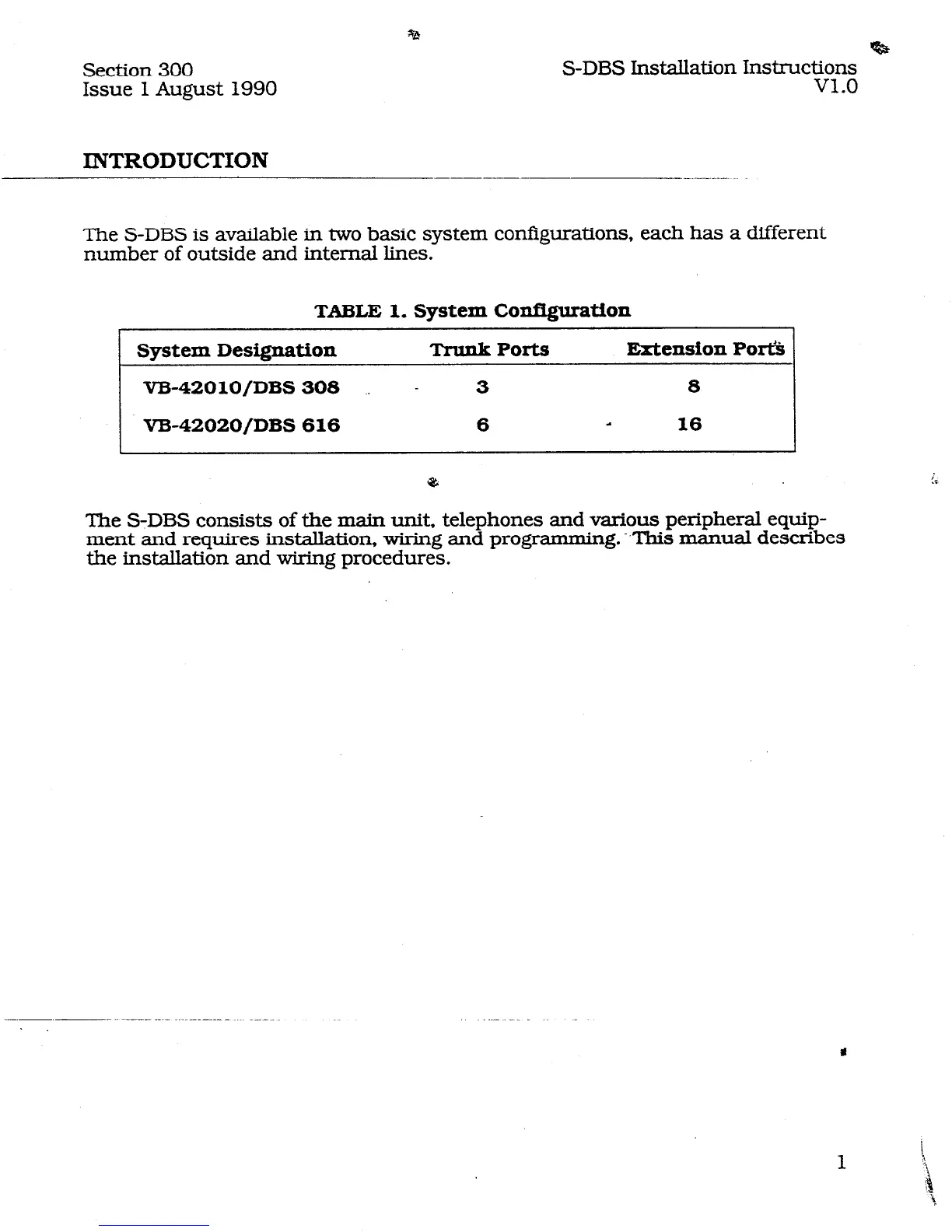
The S-DBS is available in two basic system configurations, each has a different
number of outside and internal lines.
TABLE 1. System C~dguratio~
System Designation
Trunk Ports
Extension Port%
VB-42010/DBS 308 - ., 3 8
VB-42020/DBS 616 6 a 16
9
The S-DBS consists of the main unit, telephones and various peripheral equip-
ment and requires installation, wiring and programming:This manual describes
the installation and wiring procedures.
!;
1
i
i
!\
i
‘.vs
“r.

Table of Contents

Related product manuals