EasyManua.ls Logo

Panasonic CS-Z25UB4EAW

Panasonic CS-Z25UB4EAW
158 pages
To Next Page IconTo Next Page
To Next Page IconTo Next Page
To Previous Page IconTo Previous Page
To Previous Page IconTo Previous Page
Loading...
141
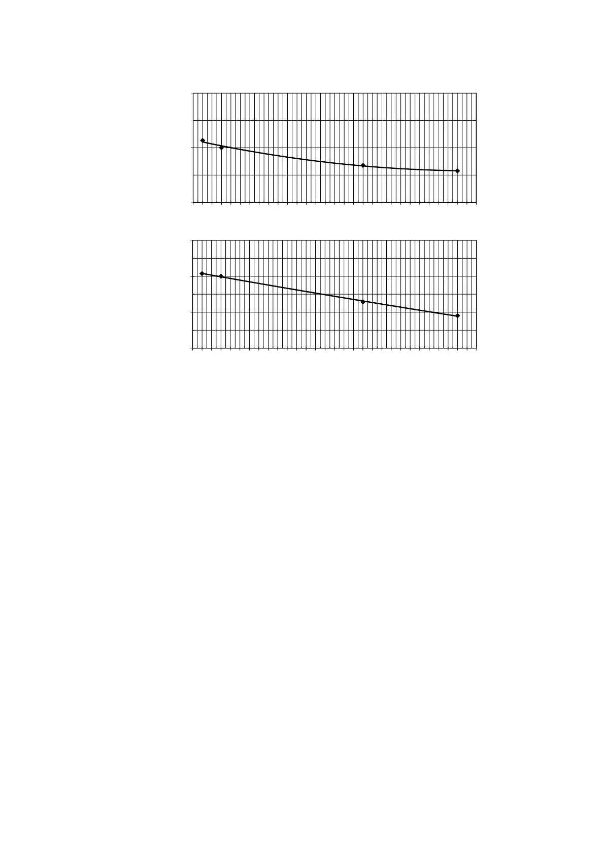
21.3.3 CS-Z50UB4EAW CU-Z50UBEA CS-Z60UB4EAW CU-Z60UBEA
Note: The graphs show the factor after added right amount of additional refrigerant.
0.90
1.00
1.10
234567891011121314151617181920212223242526272829303132
Cooling Capacity
Correction Factor
Piping Length (m)
0.80
0.90
1.00
1.10
2 3 4 5 6 7 8 9 1011121314151617181920212223242526272829303132
Heating Capacity
Correction Factor
Piping Length (m)

Table of Contents

Related product manuals