EasyManua.ls Logo

Panasonic KX-TG4732B

Panasonic KX-TG4732B
102 pages
To Next Page IconTo Next Page
To Next Page IconTo Next Page
To Previous Page IconTo Previous Page
To Previous Page IconTo Previous Page
Loading...
39
KX-TG4732B/KX-TG4733B/KX-TG4734B/KX-TGA470B
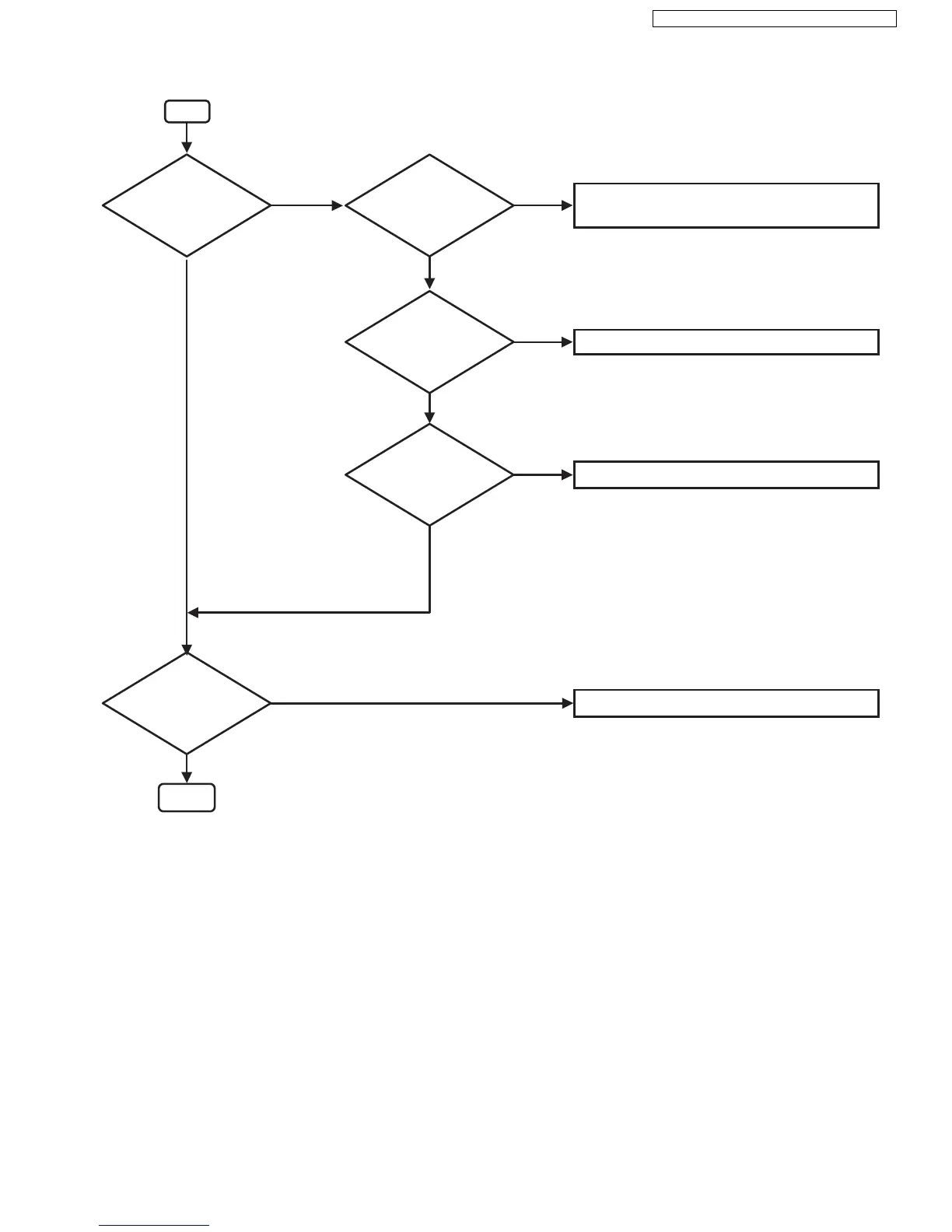
10.1.6.2. RF Check Flowchart
Each item (1 ~ 5) of RF Check Flowchart corresponds to Check Table for RF part (P.40).
Please refer to the each item.
Note:
(*1) Refer to Check Link (P.36).
Start
Link
confirmation
Normal
1
Control
signal
confirmation
X'tal
Frequency
confirmation
TX confirmation
Range
confirmation
Normal
TEST RANGE Check.
Check BBIC interface parts.
(RF Block <->BBIC on BU/HS P.C.B)
Adjust X'tal Frequency. (*1)
Check TX Block.
GOOD
5
2
3
4
OK
OK
OK
NG
NG
NG
NG
NG
OK
OK

Table of Contents

Other manuals for Panasonic KX-TG4732B

Related product manuals