EasyManua.ls Logo

Panasonic KX-TG4732B

Panasonic KX-TG4732B
102 pages
To Next Page IconTo Next Page
To Next Page IconTo Next Page
To Previous Page IconTo Previous Page
To Previous Page IconTo Previous Page
Loading...
38
KX-TG4732B/KX-TG4733B/KX-TG4734B/KX-TGA470B
10.1.6. Check the RF part
10.1.6.1. Finding out the Defective part
After All the Checkings or Repairing
1. Re-register the checked handset to the checked base unit, and Regular HS to Regular BU.
Note:
(*1) HS: Handset
(*2) BU: Base Unit
1. Prepare Regular HS(*1) and Regular BU(*2).
2. a. Re-register regular HS (Normal mode) to base unit (to be checked).
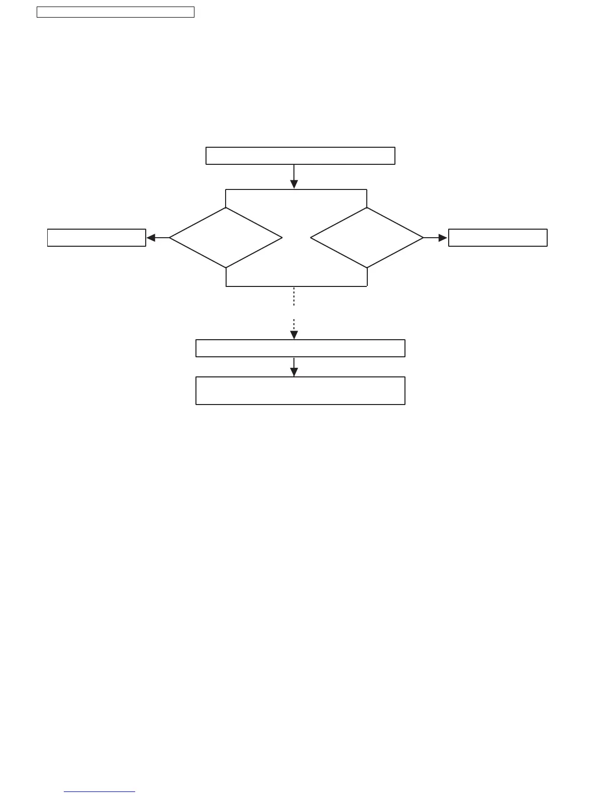
If this operation fails in some ways, the base unit is defective.
b. Re-register handset (to be checked) to regular BU (Normal mode).
If this operation fails in some ways, the handset is defective.
Base unit is defective Handset is defective
START
Registration of
Regular HS to
base unit
Registration of
handset to
Regular BU
(other checkings)
Registration of handset to base unit
(checked ones)
Registration of Regular HS to Regular BU
Yes
No No
Yes

Table of Contents

Other manuals for Panasonic KX-TG4732B

Related product manuals