EasyManua.ls Logo

Panasonic TH-58PH10BK - Applicable Signals

Panasonic TH-58PH10BK
145 pages
Print Icon
To Next Page IconTo Next Page
To Next Page IconTo Next Page
To Previous Page IconTo Previous Page
To Previous Page IconTo Previous Page
Loading...
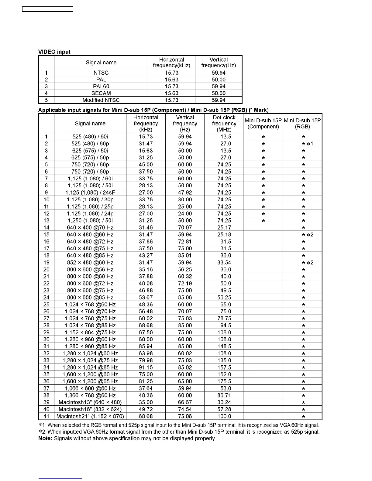
1 Applicable signals
4
TH-58PH10BK / TH-58PH10EK

Table of Contents

Related product manuals