EasyManua.ls Logo

Parker 890CS - Page 442

Parker 890CS
586 pages
Print Icon
To Next Page IconTo Next Page
To Next Page IconTo Next Page
To Previous Page IconTo Previous Page
To Previous Page IconTo Previous Page
Loading...
Programming
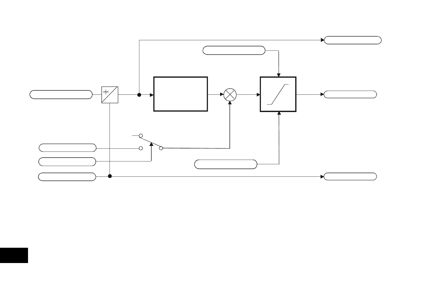
Page D-98 890CS Common Bus Supply - Frames B & D; 890CD Common Bus Drive and 890SD Standalone Drive - Frames B, C & D
8
9
10
11
A
B
C
D
1
2
3
4
5
6
7
E
MAX SPEED CLAMP
MIN SPEED CLAMP
SPEED SETPOINT
SPEED DEMAND
REVERSE
SPEED TRIM
TRIM IN LOCAL
LOCAL SETPOINT *
LOCAL REVERSE
*
RAMP
0
*
Set only from the Keypad
Local Reference
sign change
+
+
REFERENCE

Table of Contents

Other manuals for Parker 890CS

Related product manuals