EasyManua.ls Logo

RCA 70/46 - Floa Ting-Point Instructions

RCA 70/46
260 pages
Print Icon
To Next Page IconTo Next Page
To Next Page IconTo Next Page
To Previous Page IconTo Previous Page
To Previous Page IconTo Previous Page
Loading...
FLOA
TING-POINT
INSTRUCTIONS
INTRODUCTION
DATA FORMATS
Short Floating-Point
Number
Long Floating-Point
Number
Floating-point arithmetic instructions provide
the
capability to process
operands of large magnitude with precise results.
A floating-point number is made up of
three
parts:
a sign,
an
exponent
and
a mantissa. The sign portion applies to
the
mantissa. The exponent is
a power to which
the
number 16 is raised. The
mantissa
is a hexadecimal
number
with
an
assumed
radix
point to
the
left
of
the
high-order digit.
The
quantity
that
the
floating-point number represents is obtained by
multiplying
the
mantissa by
the
number 16 raised to
the
power represented
by
the
exponent.
Four
floating-point registers
are
provided, each
of
which is
64
bits
long. These registers
are
numbered 0,
2,
4
and
6.
Included in
this
set
are
instructions
for
loading, adding, subtracting,
comparing, multiplying, dividing, storing,
and
controlling signs of
short
and
long operands.
Addition, subtraction, mUltiplication,
and
division produce normalized
results. Addition
and
subtraction can also produce unnormalized results.
Operands can be normalized,
or
unnormalized,
in
any
floating-point
operation.
Sign control, add, subtract, and compare operation results
are
indicated
in
the
condition code settings.
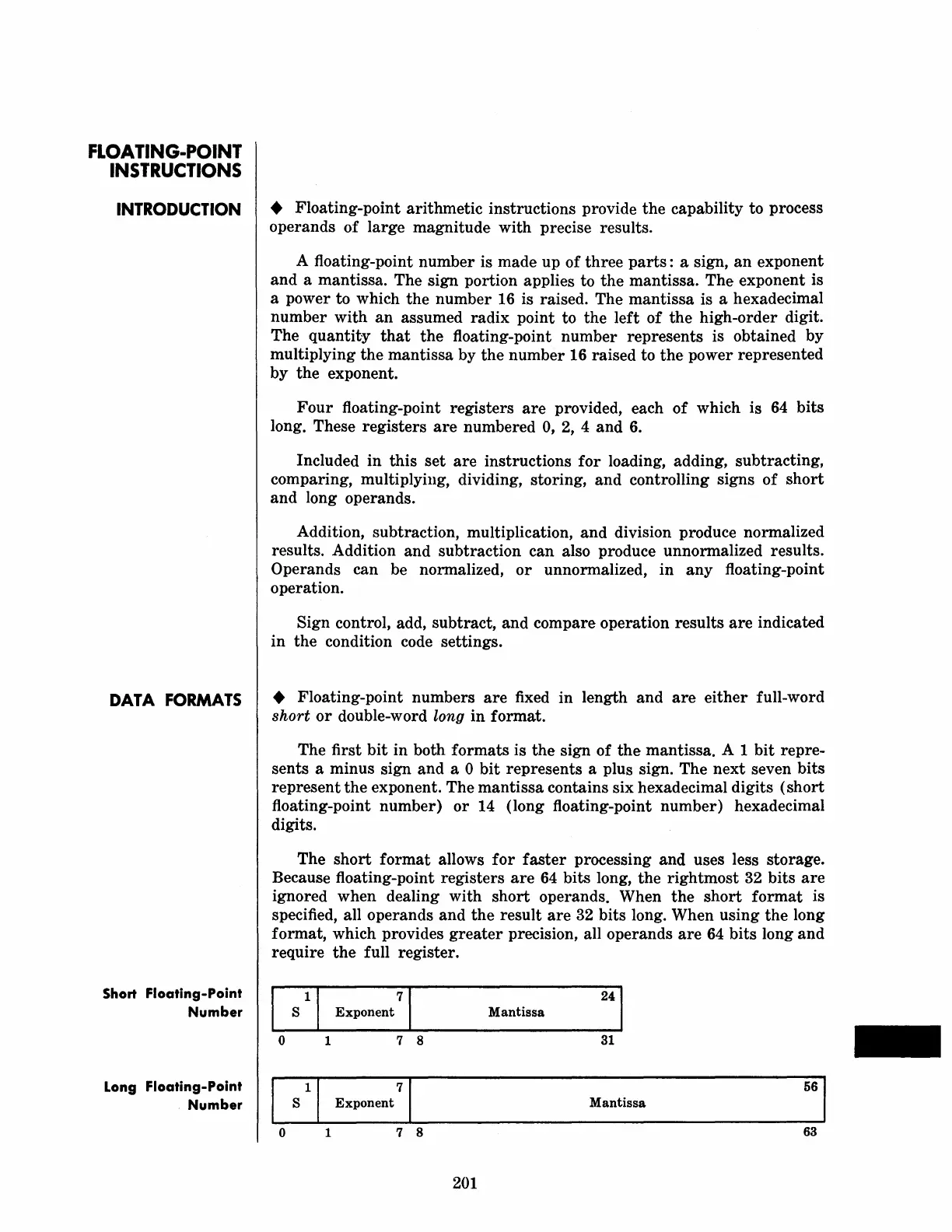
Floating-point numbers
are
fixed in length
and
are
either
full-word
short
or
double-word long
in
format.
The first
bit
in both formats is
the
sign of
the
mantissa. A 1
bit
repre-
sents a minus sign and a
0
bit
represents a plus sign. The
next
seven bits
represent
the
exponent. The
mantissa
contains six hexadecimal digits (short
floating-point number)
or
14 (long floating-point number) hexadecimal
digits.
The
short
format
allows
for
faster
processing and uses less storage.
Because floating-point registers
are
64
bits long, the rightmost 32 bits
are
ignored when dealing with
short
operands. When
the
short
format
is
specified, all operands
and
the
result
are
32 bits long. When using
the
long
format, which provides
greater
precision, all operands
are
64 bits long
and
require
the
full register.
S 1 1
Exponent
71
Mantissa
o 1 7 8
31
Mantissa
o 1 7 8
63
201

Table of Contents

Related product manuals