EasyManua.ls Logo

Rodgers 960 - Unlocking Crescendos; Setting Standard Crescendo Sequence

Rodgers 960
75 pages
Print Icon
To Next Page IconTo Next Page
To Next Page IconTo Next Page
To Previous Page IconTo Previous Page
To Previous Page IconTo Previous Page
Loading...
The 960 also has an Orchestral Crescendo, whicn gives the organist a Romantic crescendo
sequence that includes tremulants and celestes. Pressing the ORCH CRESC piston, which
is
a
reversible piston, engages the Orchestral Crescendo sequence.
The Crescendo must be unlocked to set a crescendo sequence. Once the sequence
is
set,
it
may be locked again to prevent accidental change.
UNLOCKING
THE CRESCENDOS:
1.
Press and hold the ORCH CRESC piston for approximately five seconds until
"CRESCENDOS LOCKED" appears
in
the Console Display.
2.
While continuing to hold ORCH CRESC, rotate the Alpha Dial either direction
until the Console Display reads "CRESCENDOS UNLOCKED."
3.
Release the ORCH CRESC piston. The Crescendos are unlocked.
SETTING
THE
STANDARD
CRESCENDO
SEQUENCE:
1.
Press and hold the SET piston.
2.
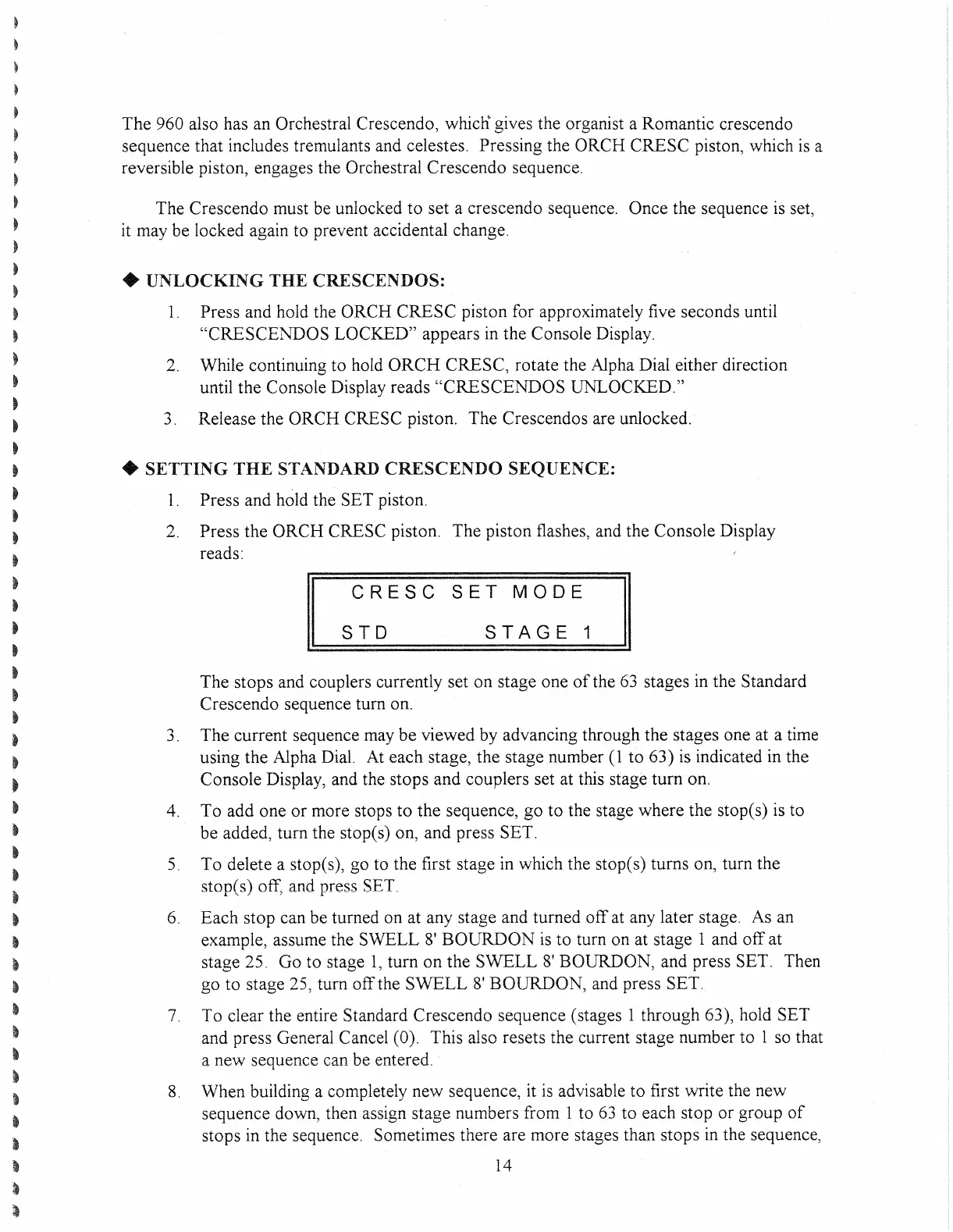
Press the ORCH CRESC piston. The piston flashes, and the Console Display
reads:
CRESC
SET
MODE
STD
STAGE
1
The stops and couplers currently set on stage one
of
the
63
stages
in
the Standard
Crescendo sequence turn on.
3.
The current sequence may be viewed by advancing through the stages one at a time
using the Alpha Dial. At each stage, the stage number
(1
to 63)
is
indicated in the
Console Display, and the stops and couplers set at this stage turn on.
4.
To add one or more stops
to
the sequence, go to the stage where the stope
s)
is to
be added, turn the stop(s) on, and press SET.
5.
To delete a stope
s),
go to the first stage
in
which the stopes) turns on, turn the
stop(s)
off, and press SET.
6.
Each stop can be turned on at any stage and turned off
at
any later stage. As an
example, assume the SWELL
8'
BOURDON
is
to turn on at stage 1 and offat
stage 25. Go to stage
1,
turn on the SWELL
8'
BOURDON, and press SET. Then
go to stage 25, turn
off
the SWELL
8'
BOURDON, and press SET.
7.
To clear the entire Standard Crescendo sequence (stages 1 through 63), hold SET
and press General Cancel (0). This also resets the current stage number to 1 so that
a new sequence can be entered.
8.
When building a completely new sequence, it
is
advisable to first write the new
sequence down, then assign stage numbers from 1 to
63
to each stop or group
of
stops in the sequence. Sometimes there are more stages than stops
in
the sequence,
14

Table of Contents

Related product manuals