EasyManua.ls Logo

Sony SLV-340 - Page 30

Sony SLV-340
41 pages
Print Icon
To Next Page IconTo Next Page
To Next Page IconTo Next Page
To Previous Page IconTo Previous Page
To Previous Page IconTo Previous Page
Loading...
SS
a
ee)
Checking/changing/cancelling
timer
settings
(continued)
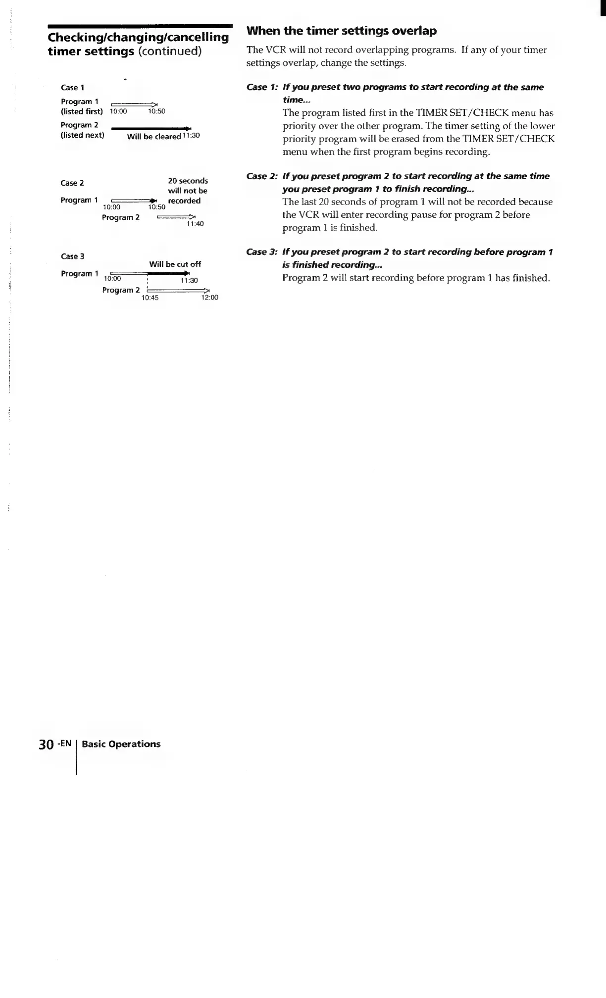
The
VCR
will
not
record
overlapping
programs.
If
any
of
your
timer
When
the
timer
settings
overlap
one,
settings
overlap,
change
the
settings.
Case
1
Case
1:
If
you
preset
two
programs
to
start
recording
at
the
same
Program
1
——
time...
(listed
first)
10:00
10:50
The
program
listed
first
in
the
TIMER
SET/CHECK
menu
has
Program
2
priority
over
the
other
program.
The
timer
setting
of
the
lower
—————
ee
ant
(listed
next)
Will
be
cleared
11:30
priority
program
will
be
erased
from
the
TIMER
SET/CHECK
menu
when
the
first
program
begins
recording.
Case
2:
If
you
preset
program
2
to
start
recording
at
the
same
time
Case
2
20
seconds
will
not
be
you
preset
program
1
to
finish
recording...
Region)
ae,
tecommed
The
last
20
seconds
of
program
1
will
not
be
recorded
because
Program
2
the
VCR
will
enter
recording
pause
for
program
2
before
aes
program
1
is
finished.
Case
3
Case
3:
If
you
preset
program
2
to
start
recording
before
program
1
Will
be
cut
off
is
finished
recording...
Fregrams
an
er
Program
2
will
start
recording
before
program
1
has
finished.
Program
2
+
10:
12:00
30
-EN
|
Basic
Operations

Related product manuals