EasyManua.ls Logo

Sun Microsystems Fire V240 - FIGURE 1-11 System Prompt Flow Diagram

Sun Microsystems Fire V240
114 pages
Print Icon
To Next Page IconTo Next Page
To Next Page IconTo Next Page
To Previous Page IconTo Previous Page
To Previous Page IconTo Previous Page
Loading...
Chapter 1 Introduction 1-21
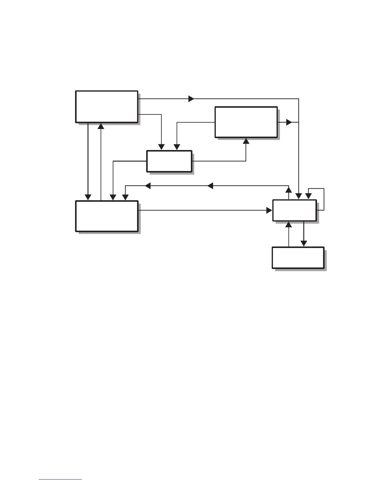
FIGURE 1-11 shows the relationship between the three prompts and how to change
from one prompt to another.
FIGURE 1-11 System Prompt Flow Diagram
For additional information about obtaining switching from OpenBoot PROM to
server console (sc) prompts see:
Section 3.4, “Basic ALOM Functions” on page 3-5.
OBP prompt
ok
OBP prompt
ok
go
ALOM prompt
sc>
ALOM prompt
sc>
ALOM prompt
sc>
Shutdown, halt, init 0
boot
break
console
console
reset
go
reset
#.
#.
#.
console
Solaris SU prompt
#

Table of Contents

Related product manuals