EasyManua.ls Logo

TECO JSDAP Series - Page 47

TECO JSDAP Series
188 pages
Print Icon
To Next Page IconTo Next Page
To Next Page IconTo Next Page
To Previous Page IconTo Previous Page
To Previous Page IconTo Previous Page
Loading...
42
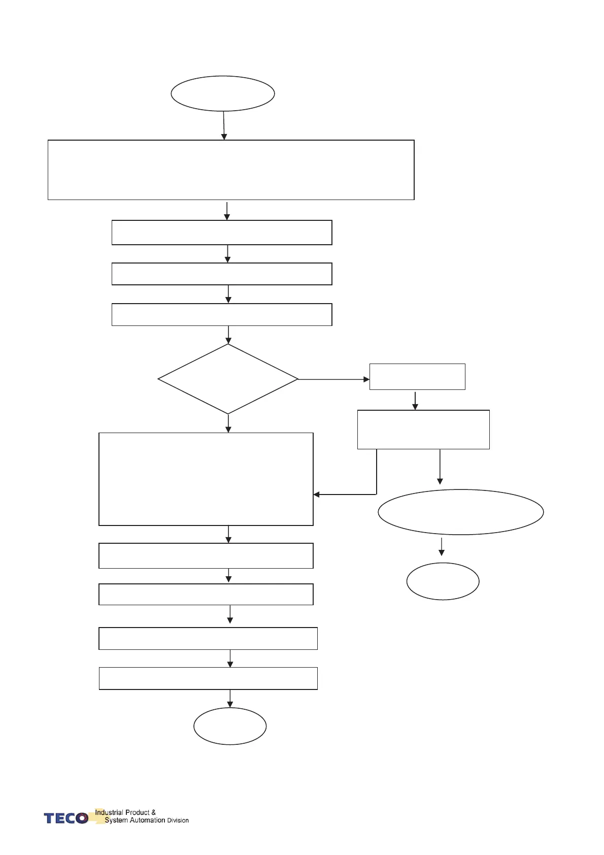
Start
Set AutoTuning function choice (Cn59=1)
Servo On
Normal
Work?
Display AL-09
The turns command of OFFLine-tuning (Cn60)
The Maximum speed OFFLine-tuning (Cn61)
OFFLine-tuning operation overtravel distance protection settings (Cn62)
The parameters:
1. Load-Inertia ratio (Cn025)
2. Speed loop Gain 1Sn211
3.
Speed-loop Integral time 1Sn212
4. Position Loop Gain 1 (Pn310)
Run
STOP
Servo OFF
Disabe AutoTunin
g
function choice
Record the
arameters
End
Deal problems by
abnormal action Table
No
Gain Adjusting by Hand
No
No
End

Table of Contents

Other manuals for TECO JSDAP Series

Related product manuals