EasyManua.ls Logo

Atlantic 024306 - Page 14

Atlantic 024306
88 pages
Print Icon
To Next Page IconTo Next Page
To Next Page IconTo Next Page
To Previous Page IconTo Previous Page
To Previous Page IconTo Previous Page
Loading...
- 14 -
Operating principle
The heat pump transmits the energy contained in the
surrounding air into the dwelling to be heated and for
production of domestic hot water.
The heat pump consists of four main parts, in which a
refrigerant (R32) circulates.
- In the evaporator (ref. 12,
g. 8, page 12):
The energy is taken from the outside air and transmitted
to the refrigerant. Because it has a low boiling point, it
changes from a liquid to a vapour, even in cold weather
(down to -20°C outside temperature).
- In the compressor (ref. 9, g. 8, page 12):
The vaporised refrigerant is pressurised and takes on
additional energy.
- In the condenser (ref. 15, g. 9, page 13):
The energy of the refrigerant is transmitted to the
heating circuit. The refrigerant returns to its liquid state.
- In the expansion valve (ref. 8, g. 8, page 12):
The liqui ed refrigerant is returned to a low pressure
and regains its initial temperature and pressure.
The heat pump is equipped with a controller which
controls the room temperature based on the outdoor
temperature. The room thermostat (option) provides a
corrective action for the temperature control.
The hydraulic unit is tted with an electrical backup or
boiler connection* which intervenes to provide additional
heat during the coldest periods.
8
7
6
5
4
3
2
1
0
-20 -15 -10 -5 0 5 10 15 20 25
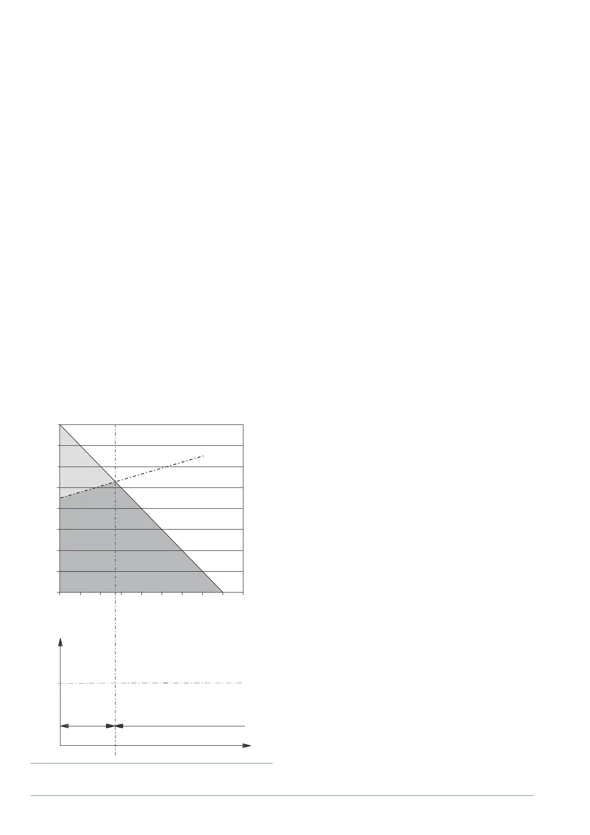
46
Dwelling heat loss (kW)
Outdoor temperature (°C)
Outdoor temperature (°C)
Heat Pump power
g. 10 - Examples and operating limits
Max
authorised HP
start-up temp.
Water return temperature (°C)
HP only
Heat Pump
HP +
electrical
backup
Backup
• Control functions
- The heating circuit's ow temperature is controlled by
the temperature control.
- Depending on the heating ow temperature, the
outdoor unit's power is modulated by the "Inverter"
compressor.
- Control of the backup electrical heating.
- The daily timer program is used to set the periods
where the ambient temperature is comfortable or
reduced.
- Summer/winter time mode switchover is automatic.
- Management of the boiler backup*.
- Room sensor*: The room sensor provides a corrective
action for the temperature control.
- Control of a second heating circuit*.
- Domestic hot water: Heating timer program.
- Managing cooling*.
* Where the heat pump is tted with options and associated kits.
• Protective functions
- Anti-legionella cycle for domestic hot water.
- Anti-corrosion tank protection with titanium anode
(ACI).
- Frost protection: Frost protection is activated if the
heating circuit's ow temperature falls below 5°C
(provided that the heat pump's electrical power supply
is not interrupted).
Alfea Extensa A.I. R32 / INSTALLATION / 2114 - EN

Related product manuals