EasyManua.ls Logo

Barco SP2K-C - HD in Function of Modifying Optics

Barco SP2K-C
156 pages
Print Icon
To Next Page IconTo Next Page
To Next Page IconTo Next Page
To Previous Page IconTo Previous Page
To Previous Page IconTo Previous Page
Loading...
21R5914712 /00 SP2K-C
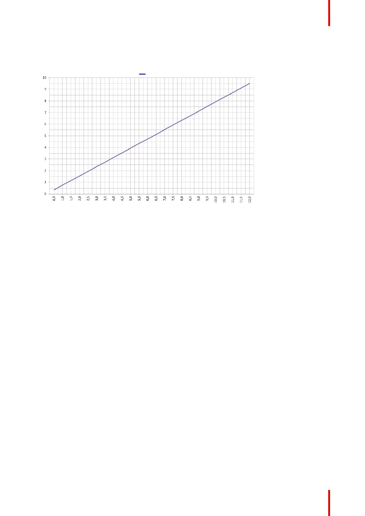
1.6 HD in function of modifying optics
Hazard Distance
Hazard Distance (HD) [m]
Throw Ra!o (TR)
SP2K-C
Image 1–4
HD Hazard Distance
TR Throw Ratio
Safety

Table of Contents

Related product manuals