EasyManua.ls Logo

Bioloid Robotis - Page 69

Default Icon
142 pages
Print Icon
To Next Page IconTo Next Page
To Next Page IconTo Next Page
To Previous Page IconTo Previous Page
To Previous Page IconTo Previous Page
Loading...
User’s Guide
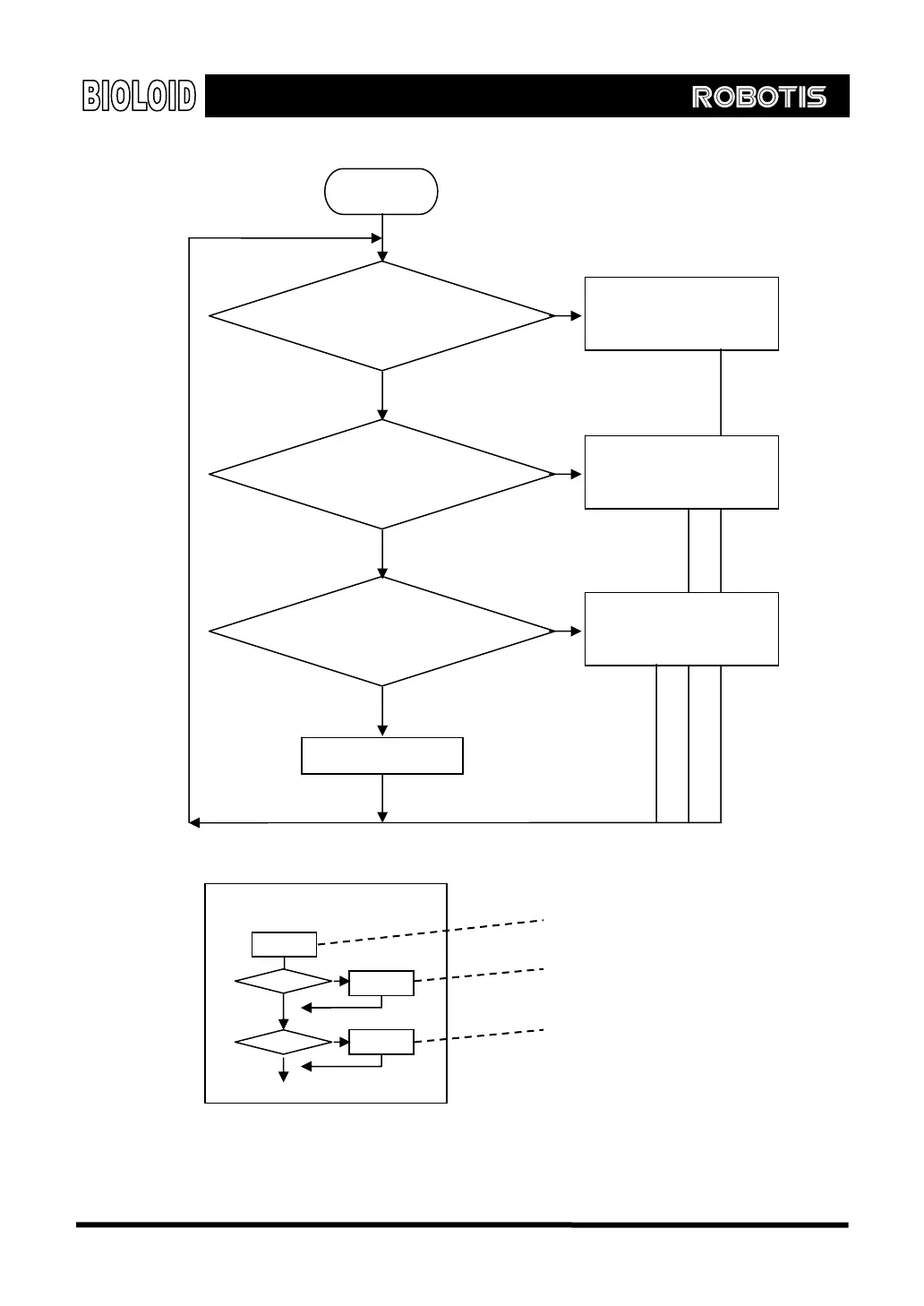
Start
1
Left turn while making
melody sound
Left sensed distance
Yes
> 200 ?
No
1
Right turn while making
melody sound
Right sensed distance
Yes
> 200 ?
No
1
Move back while
making melody sound
Center sensed distance
Yes
> 200 ?
No
Move while making melody
sound
1
Wheel end
Sound special melody, move
Melody completion, on standby
Wait for substance to disappe
69